Т. ОБЩЕТЕХНИЧЕСКИЕ И ОРГАНИЗАЦИОННО-МЕТОДИЧЕСКИЕ СТАНДАРТЫ
Изменение № 1 ГОСТ 12.1.044-89 Система стандартов безопасности труда. Пожаровзрывоопасность веществ и материалов. Номенклатура показателей и методы их определения
Принято Межгосударственным Советом по стандартизации, метрологии и сертификации (протокол № 16 от 8.10.99)
Зарегистрировано Техническим секретариатом МГС № 3461
За принятие изменения проголосовали:
|
Наименование государства |
Наименование национального органа по стандартизации |
|
Республика Беларусь |
Госстандарт Беларуси |
|
Республика Казахстан |
Госстандарт Республики Казахстан |
|
Республика Молдова |
Молдова стандарт |
|
Российская Федерация |
Госстандарт России |
|
Туркменистан |
Главная государственная инспекция Туркменистана |
|
|
|
|
Украина |
Госстандарт Украины |
Пункт 1.4. Таблицу 1 дополнить показателем - «Концентрационный предел диффузионного горения газовых смесей в воздухе»:
|
Показатель |
Агрегатное состояние веществ и материалов |
|||
|
Газы |
Жидкости |
Твердые |
Пыли |
|
|
Концентрационный предел диффузионного горения газовых смесей в воздухе
|
+ |
+ |
- |
- |
Раздел 2 дополнить пунктами - 2.21, 2.21,1-2.21.4:
«2.21 .Концентрационный предел диффузионного горения газовых смесей в воздухе
2.21.2. Концентрационный предел диффузионного горения газовых смесей в воздухе следует учитывать при разработке мероприятий по обеспечению пожаровзрывобезопасности технологических процессов в соответствии с требованиями ГОСТ 12.1.004-91 и ГОСТ 12.1.010-76.
2.21.3. Сущность метода определения концентрационного предела диффузионного горения газовых смесей в воздухе заключается в определении предельной концентрации горючего газа в смеси с разбавителем, при которой данная газовая смесь не способна к диффузионному, горению. При этом фиксируется предельная скорость подачи газовой смеси.
Раздел 4* дополнить пунктами - 4.22, 4.22.1, 4.22.1.1-4.22.1.3, 4.22.2, 4.22.2.1-4.22.2.4, 4.22.3, 4.22.3.1-4.22.3.5, 4.22.4, 4.22.4.1-4.22.4.3, 4.22.5:
«4.22. Метод экспериментального определения концентрационного предела, диффузионного горения '(ПДГ) газовых смесей в воздухе"'
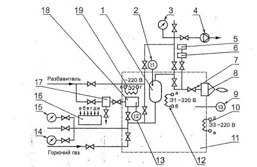
Установка для определения ПДГ газовых смесей в воздухе представлена на черт.21а.
4.22.1.1. Термостат представляет собой замкнутый объем с термоизоляцией. Термостат предназначен для поддержания заданного температурного режима 20-300*С газовой смеси путём нагрева элементов системы газоприготовления. Обогрев термостата осуществляется нагревателем ЭЗ мощностью 9,6 кВт. Внутри термостата размещен ресивер для приготовления смеси горючего газа с разбавителем и парогенератор, предназначенный для приготовления водяного пара или пара горючей жидкости. Ресивер представляет собой сосуд объемом 20 дм3, рассчитанный на давление 2,5 МПа. Обогрев ресивера осуществляется нагревателем Э1 мощностью 6,2 кВт. Парогенератор представляет собой сосуд объемом 25 дм3.Для получения водяного пара служит нагреватель Э2 мощностью 9,6 кВт. Допускается отклонение от указанных значений объемов и мощностей на 5%.
4.22.1.2.Насадок диффузионного горения (НДГ) представляет собой сопло Лаваля с форсункой (2,1±0,1) мм.
4.22.1.3. Элементы измерительной системы:
система
терморегулирования и управления нагревателями Э1, Э2, ЭЗ;
вакуумметры класса точности 0,4; :

I - ресивер, 2-первичный термопреобразователь t1; 3- вакуумметр;
4- вакуумный насос; 5 - измерительное устройство сигналов с датчика давления;
6 - датчик давления; 7 - вентиль точной регулировки; 8 - насадок диффузионного горения;
9-первичный термопреобразователь t3; 10— нагреватель ЭЗ;
11 - термостат; 12 - нагреватель
Э1; 13 - первичный термопреобразователь t2;
14 - вакуумметр; 15
- манометр; 16 - система терморегулирования;
17 - емкость для воды; 18 - парогенератор; 19 - нагреватель Э2
манометры с диапазоном измерения 1,0 и 0,25 МПа класса точности 0,4; тип манометра выбирается исходя из условия приготовления газовой смеси с точностью 0,5 % (об.) и необходимого начального давления смеси в ресивере;
датчик давления с диапазоном измерения 1,0 МПа;
измерительно-регистрирующая аппаратура для измерения сигналов с датчика давления в частотном диапазоне до 10 Гц с верхним пределом измерения не более 1,0МПа
4.22.2.Подготовка к испытаниям
4.22.2.1.Проверяют наличие и содержание паспортных данных на исследуемое вещество.
4.22.2.2.Проверяют оборудование на герметичность. Для этого в ресивер подают воздух или инертный разбавитель под избыточным давлением 1,0 МПа. Установка считается герметичной, если за 300 с давление упало менее чем на половину деления по шкале манометра с диапазоном измерения 1,0 МПа класса точности 0,4.
4.22.2.3.Проводят тарировку датчика давления по показаниям образцового манометра с диапазоном измерения 0,25 МПа класса точности 0,4.
4.22.3. Проведение испытаний
4.22.3.1.Проводят вакуумирование газовых магистралей, подключенных к смесителю и обеспечивающих подачу газовой смеси на насадок диффузионного горения.
4.22.3.2.По парциальным давлениям газов Pt в ресивере приготавливают требуемую газовую смесь исследуемого горючего и разбавителя. Концентрацию газа Сi, рассчитывают по формуле
Сi=100·Pi/Pобщ.
где Pобщ общее давление в ресивере :МПа.
Приготовление смеси осуществляют в следующей последовательности:
в ресивер подают горючий газ;
осуществляют вакуумирование газовых магистралей;
подают в ресивер разбавитель:
4.22.3.3.Включают нагреватель Э1 и исследуемую газовую смесь нагревают до заданной температуры. Указанную температуру вносят в протокол испытаний (приложение 1) как температуру исследуемой газовой смеси. ; .
4.22.3.4.Открывают линию подачи газовой смеси на НДГ. Скорость истечения заданной газовой смеси из форсунки при этом должна быть минимально возможной. Одновременно ее зажигают (пламенем спиртовки, спичками и т. п.).
После зажигания газовой смеси и образования устойчивого горения диффузионного факела начинают увеличивать скорость истечения газа из форсунки с помощью вентиля точной регулировки. Увеличение скорости истечения продолжается до тех пор, пока не наступит срыв пламени. В момент срыва горения фиксируют давление на входе НДГ. Процедуру определения давления срыва диффузионного пламени повторяют 5 раз. По результатам этих измерений определяют среднее арифметическое значение ∆Pср
При проведении серии огневых испытаний в каждом опыте в момент зажигания газовой смеси необходимо выполнение условия, при котором давление газа перед форсункой должно быть ниже первого измеренного в данной серии испытаний значения ∆Pср
Путем последовательного уменьшения концентрации горючего газа в смеси с разбавителем определяют концентрацию горючего газа, при которой данная газовая смесь при истечении в атмосферу не способна к диффузионному горению.
4.22.4.1.За концентрационный предел диффузионного горения газовых смесей в воздухе принимают среднее арифметическое значение ближайших концентраций горючего, различающихся не более чем на 2 %(об.)., при одной из которых наблюдается диффузионное горение газовой смеси при истечении в атмосферу, а при другой - его отсутствие.
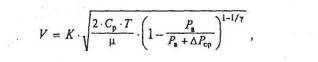
4.22.4.2.По результатам измерений рассчитывают скорость срыва диффузионного горения V, м/с, по формуле

где К - коэффициент расхода форсунки, равный 0,75;
- молекулярная масса исследуемой газовой смеси, кг/моль;
СP - теплоемкость исследуемой газовой смеси, кДж/моль-К;
Т - температура газа, К;
Ра - атмосферное давление, Ра = 1,01·105 Па;
∆Pср - избыточное давление, при котором наблюдается срыв диффузионного горения, Па;
у = СP 1СV
4.22.4.3. Условия и результаты испытаний регистрируют в протоколе, форма которого приведена в приложении 1.
4.22.5. Требования безопасности
При испытаниях необходимо соблюдать меры безопасности, связанные с работой с открытым огнем.
В процессе подготовки и проведения испытаний следует применять индивидуальные средства защиты, выбираемые в соответствии со свойствами исследуемого вещества.
Рабочее место оператора должно удовлетворять требованиям электро - безопасности ГОСТ 12.1.019-79 и санитарно-гигиеническим требованиям ГОСТ 12.1.005-88.
Обслуживающий персонал обязан строго выполнять инструкции по безопасной эксплуатации сосудов, работающих под давлением».
Приложение 1. дополнить протоколом опытов по определению предела диффузионного горения газовых составов:
«Протокол
опытов по определению концентрационного предела диффузионного горения газовых смесей в воздухе
Дата проведения испытаний __________________________________________________________________________
Наименование горючего ______________________________________________________________________________
Наименование разбавителя ___________________________________________________________________________
Температура исследуемой газовой смеси ________________________________________________________________
Атмосферное давление ________________________________________________________________________________
|
Номер п/п |
Концентрация горючего, % (об.) |
Давление срыва, кПа |
Скорость срыва диффузионного горения, м/с |
|
|
|
|
|
Принятое значение ПДГ смеси _____________ в воздухе при температуре ___________°С составляет ___________ % (об.).
Фамилия оператора ________________________________________________»
подпись
(ИУС № 7 2000 г.)