ГОСТ Р МЭК 60204-1-99
ГОСУДАРСТВЕННЫЙ СТАНДАРТ РОССИЙСКОЙ ФЕДЕРАЦИИ
Безопасность машин
ЭЛЕКТРООБОРУДОВАНИЕ
МАШИН
И МЕХАНИЗМОВ
Часть 1
Общие требования
ГОССТАНДАРТ РОССИИ
Москва
Предисловие
ВНЕСЕН Техническими комитетами по стандартизации ТК 70 «Станки» и ТК 331 «Низковольтная коммутационная аппаратура распределения и управления»
2 ПРИНЯТ И ВВЕДЕН В ДЕЙСТВИЕ Постановлением Госстандарта России от 17 декабря 1999 г. № 541-ст
3 Настоящий стандарт представляет собой аутентичный текст международного стандарта МЭК 60204-1 (1997-10), издание 4.0 «Безопасность машин. Электрооборудование машин и механизмов. Часть 1. Общие требования»
ВВЕДЕН ВПЕРВЫЕ
СОДЕРЖАНИЕ
Введение
Настоящий стандарт устанавливает требования и рекомендации к электрооборудованию промышленных машин и механизмов, обеспечивающие:
- безопасность персонала и имущества;
- согласованность реакций на управляющее воздействие;
- легкость обслуживания.
Повышение рабочих характеристик не может быть достигнуто в ущерб вышеуказанным факторам.
Пример применения этих требований представлен группой промышленных машин и механизмов, используемых в производстве дискретных компонентов, таких как машины, производственные системы или комплексы, выпускаемые серийно, отказ в работе которых может иметь серьезные экономические последствия.
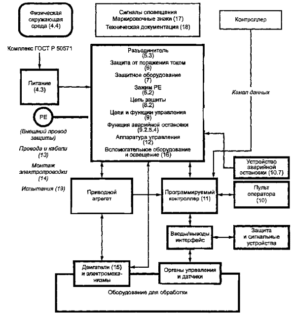
Рисунки 1 и 2 даны для понимания связей между различными элементами промышленной машины и вспомогательного оборудования. На рисунке 1 изображена функциональная схема типовой производственной системы (группа машин, работавших вместе в согласованном порядке), а на рисунке 2 - схема машины и вспомогательного оборудования. На схемах представлены различные элементы электрооборудования, о которых идет речь в настоящем стандарте.
Рисунок 1 - Функциональная схема типовой производственной системы
В скобках указаны пункты и подпункты настоящего стандарта.
Подразумевается, что на рисунках 1 и 2 представлена совокупность элементов, рассматриваемых вместе, включая защитные устройства, оснастку, вспомогательное оборудование, программное обеспечение и документацию, составляющих промышленную машину, и что одна или несколько работающих вместе машин с определенным уровнем управления и контроля, по меньшей мере, представляют собой производственный комплекс или звено.
В некоторых странах приняты следующие различия:
Рисунок 2 - Функциональная схема типовой машины
7.3.2 Разъединение нейтрального проводника требуется в TN-S системах питания (Франция).
13.6 Таблица 6. Поперечные сечения проводников применяются по стандарту AWG (США).
14.2.3 Для цветовой маркировки изоляции заземленного нейтрального провода используют белый или натуральный серый вместо ярко-голубого (США и Канада).
14.2.4 Желтый цвет используют в маркировке вместо оранжевого (в США).
ГОСТ Р МЭК 60204-1-99
ГОСУДАРСТВЕННЫЙ СТАНДАРТ РОССИЙСКОЙ ФЕДЕРАЦИИ
Безопасность машин
ЭЛЕКТРООБОРУДОВАНИЕ МАШИН И МЕХАНИЗМОВ
Часть 1
Общие требования
Safety of machinery. Electrical equipment of machines. Part 1. General requirements
Дата введения 2001-01-01
Настоящий стандарт распространяется на электрические и электронные системы и оборудование (далее - электрооборудование) для непереносимых вручную во время их работы промышленных машин и механизмов (далее - машин), включая группу машин, работающих вместе в согласованном порядке (далее - целевые производственные системы). Исключение составляют системы более высокого уровня (например, при наличии функциональных связей между системами).
Примечания
1. В стандарте термин «электрический» используют в общем смысле - электронный и электрический (например, «электрическое оборудование» относится как к электрическому, так и электронному оборудованию).
2. В стандарте термин «персонал» относится к любому лицу или группе лиц, подготовленных и назначенных потребителем, ответственным за эксплуатацию и техническое обслуживание машин.
Электрооборудование, на которое распространяется настоящий стандарт, охватывает все электрооборудования машины (п. 5.1), начиная с точки подключения его к источнику питания.
Примечание - Требования к электрическим установкам зданий установлены в комплексе стандартов ГОСТ Р 50571.
Настоящий стандарт распространяется на электрооборудование, работающее от сети переменного тока при номинальном напряжении питания не более 1000 В или постоянного тока не более 1500 В между фазами; номинальный диапазон частот должен быть не более 200 Гц. Для более высоких значений напряжения и частот требования устанавливаются другими стандартами.
Настоящий стандарт является основным стандартом для обеспечения безопасности машин, и его требования не могут ограничивать или сдерживать передовые разработки в области технологии. Стандарт не включает все требования (например, к защите, блокировке или управлению), которые необходимы или устанавливаются другими стандартами или техническими документами, предназначенными для защиты персонала не только от опасности поражения электрическим током, но и от других, связанных с ним, опасных воздействий на здоровье персонала. К машинам каждого типа должны устанавливаться, при необходимости, дополнительные требования, которые должны неукоснительно соблюдаться для достижения надлежащей безопасности.
В настоящий стандарт специально включено (но не ограничено только этим) электрическое оборудование промышленных машин, которые определены в 3.33 (в приложении А перечислены образцы машин, на электрическое оборудование которых могут распространяться положения настоящего стандарта).
Специальные и дополнительные требования могут предъявляться к электрооборудованию машин, которые:
- используются на открытом воздухе (то есть, вне зданий или других защитных строений);
- используют, подготавливают или производят легковоспламеняющиеся вещества (например, краски или опилки);
- применяются во взрывоопасных или легковоспламенимых средах;
- представляют особую опасность при выпуске некоторых материалов; используются в шахтах и на рудниках;
- являются швейными машинами или швейными узлами и системами (на которые распространяется МЭК 60204-31 [1]);
- подъемные механизмы (которые значились в МЭК 60204-32 [2]).
В настоящем стандарте использованы ссылки на следующие стандарты:
ГОСТ 14254-96 (МЭК 529-79) Степени защиты, обеспечиваемые оболочками (Код IP)
ГОСТ 21991-89 (МЭК 447-74) Оборудование электротехническое. Аппараты электрические. Направление движения органов управления
ГОСТ 28312-89 (МЭК 417-73) Аппаратура радиоэлектронная профессиональная. Условные графические обозначения
ГОСТ 28330-89 (МЭК 34-1-83, МЭК 34-5-84, МЭК 34-7-72, МЭК 34-9-90, МЭК 34-11-78, МЭК 34-14-82, МЭК 72-71) Машины электрические асинхронные мощностью от 1 до 400 кВт включительно. Общие технические требования
ГОСТ 28763-90 (МЭК 757-83) Код для обозначения цветов
ГОСТ 29146.1-91 (МЭК 309-1-88) Соединители электрические промышленного назначения. Часть 1. Общие требования
ГОСТ 29149-91 (МЭК 73-84) Цвета световой сигнализации и кнопок
ГОСТ 30011.3-93 (МЭК 947-3-90) Низковольтная аппаратура распределения и управления. Часть 3. Выключатели, разъединители, выключатели-разъединители и комбинации с предохранителями
ГОСТ 30011.5-93 (МЭК 947-5-1-90) Низковольтная аппаратура распределения управления. Часть 5. Аппараты и элементы коммутации для цепей управления. Раздел 1. Электромеханические устройства цепей управления
ГОСТ 30030-93 (МЭК 742-83) Трансформаторы разделительные и безопасные разделительные трансформаторы. Технические требования
ГОСТ Р МЭК 332-1-96 Испытание кабелей на нераспространение горения. Часть 1. Испытания одиночного вертикально проложенного изолированного провода или кабеля
ГОСТ Р МЭК 536-94 Оборудование электротехническое и электронное. Классификация электрического и электронного оборудования по способу защиты от поражения электрическим током
ГОСТ Р МЭК 870-5-1-95 Устройства и системы телемеханики. Часть 5. Протоколы передачи. Раздел 1. Форматы передаваемых кадров
ГОСТ Р 50020.3-92 (МЭК 621-3-79) Электроустановки для открытых площадок при тяжелых условиях эксплуатации (включая открытые горные разработки и карьеры). Часть 3. Общие требования к электрооборудованию и вспомогательной аппаратуре
ГОСТ Р 50030.2-94 (МЭК 947-2-89) Низковольтная аппаратура распределения и управления. Часть 2. Автоматические выключатели
ГОСТ Р 50339.0-92 (МЭК 269-1-86) Низковольтные плавкие предохранители. Общие требования
ГОСТ Р 50345-99 (МЭК 60898-95) Малогабаритная электрическая аппаратура. Автоматические выключатели для защиты от сверхтоков бытового и аналогичного назначения
ГОСТ Р 50462-92 (МЭК 446-89) Идентификация проводников по цветам или цифровым обозначениям
ГОСТ 30331.2-95 (МЭК 364-3-93)/ГОСТ Р 50571.2-94 (МЭК 364-3-93) Электроустановки зданий. Часть 3. Основные характеристики
ГОСТ 30331.3-95 (МЭК 364-4-41-95)/ГОСТ Р 50571.3-94 (МЭК 364-4-41-92) Электроустановки зданий. Часть 4. Требования по обеспечению безопасности. Защита от поражения электрическим током
ГОСТ 30331.7-95 (МЭК 364-4-46-81)/ГОСТ Р 50571.7-94 (МЭК 364-4-46-81) Электроустановки зданий. Часть 4. Требования по обеспечению безопасности. Отделение, отключение, управление
ГОСТ 30331.8-94 (МЭК 364-4-47-81)/ГОСТ Р 50571.8-94 (МЭК 364-4-47-81) Электроустановки зданий. Часть 4. Требования по обеспечению безопасности. Общие требования по применению мер защиты для обеспечения безопасности. Меры защиты от поражения электрическим током
ГОСТ 30331.9-95 (МЭК 364-4-473-77)/ГОСТ Р 50571.9-94 (МЭК 364-4-473-77) Электроустановки зданий. Часть 4. Требования по обеспечению безопасности. Применение мер защиты от сверхтоков
ГОСТ Р 50571.10-96 (МЭК 364-5-54-80) Электроустановки зданий. Часть 5. Выбор и монтаж электрооборудования. Глава 54. Заземляющие устройства и защитные проводники
ГОСТ Р 50571.16-99 (МЭК 60364-6-61-86) Электроустановки зданий. Часть 6. Испытания. Глава 61. Приемо-сдаточные испытания
В настоящем стандарте используют следующие термины с соответствующими определениями:
Примечания
1 Орган управления может иметь форму ручки, рукоятки, кнопки, ролика, плунжера и т.д.
2 Некоторые органы управления не требуют воздействия внешней силы, а только какого-либо действия.
3 См. также 3.32.
Примечание - Кабельный лоток может быть перфорированный и неперфорированный (МЭС 826-06-07).
Примечание - Трубопроводы должны быть закрыты таким образом, чтобы имелась возможность вставлять в них изолированные провода и/или кабели (МЭС 826-06-03).
3.10 аппаратура управления: Общий термин, применяемый к коммутационным аппаратам и их комбинациям с приборами управления, измерения, защиты и регулировки, которые к ним подсоединяют, а также к группам таких аппаратов с соединениями, арматурой, кожухами и соответствующими поддерживающими структурами, которые предназначены в основном для управления устройствами, потребляющими электроэнергию (МЭС 441-11-03).
Примечание - Трубопроводы, кабель-несущая системы и короба под полом являются модификациями каналов.
Примечание - Определение, взятое из МЭС, требует следующих пояснений в соответствии с ГОСТ 14254, 3.1:
а) оболочки обеспечивают защиту людей или домашних животных и скота от доступа к опасным частям;
б) ограждения, решетки или все другие средства либо соединенные с оболочкой, либо размещенные под оболочкой, приспособленные для предупреждения или ограничения проникновения специальных испытательных калибров, рассматривают как части оболочки, за исключением тех, которые могут быть демонтированы и сняты без помощи ключа или инструмента.
Оболочка может быть в виде:
а) шкафа или ящика (коробки), установленного на машине или отдельно от нее;
б) отсека (секции), представляющего закрытое пространство и являющегося частью конструкции машины.
Примечание - Проводящая часть электрооборудования, которая может оказаться под напряжением через незащищенную токопроводящую часть, не может считаться незащищенной токопроводящей частью (МЭС 826-03-02).
Примечания
1 После отказа технический объект находится в неисправном состоянии.
2 «Отказом» является переход из одного состояния в другое при сохранении работоспособности, в противоположность «дефекту», который является неработоспособным состоянием.
3 Понятие отказ, как оно определено, не применяется к техническим объектам, состоящим только из программных средств (МЭС 191-04-01)
4 На практике термины «отказ» и «дефект» используются как синонимы.
Примечание - Дефект является часто следствием отказа технического объекта, но он может существовать без предварительного отказа.
3.25 защитное устройство: Элемент машины, используемый специально для защиты и служащий физической преградой. В зависимости от своей конструкции защитное устройство может называться корпусом, коробкой, футляром, крышкой, покрытием, экраном, дверцей, защитным кожухом и т.д. (ИСО/ТР 12100-1 [34], 3.22, с изменениями).
3.26 опасность: Возможная причина травмы или нанесение вреда здоровью (ИСО/ТР 12100-1 [34], 3.5 с изменениями).
3.30 ограничивающее устройство: Устройство, которое удерживает машину или ее элемент от превышения предусмотренного предельного значения (например, предельное перемещение, предельное давление) (ИСО/ТР 12100-1 [34], 3.23.7).
Примечание - Этот термин не подразумевает в обязательном порядке риск удара (поражения) электрическим током (МЭС 826-03-01).
3.32 исполнительный механизм: Силовой механизм, воздействующий на движение машины.
Термин «машина и механизм» также относится к группе машин, которые организованы и управляются таким образом, чтобы выполнять общую функцию.
3.35 нулевой провод (символ N): Провод, соединенный с нейтральной (нулевой) точкой сети и обладающий возможностью передачи электроэнергии (МЭС 826-01-03) (ИСО/ТР 12100-1 [34], 3.22 с изменениями).
3.37 сверхток: Любой ток, превышающий номинальную величину. Для проводов номинальной величиной является допустимый ток (МЭС 826-05-06).
Примечание - Не следует использовать термин «перегрузка» как синоним сверхтока.
3.40 плюсовая операция отключения (элемента контактного узла): Операция разделения контактов, являющаяся результатом непосредственного воздействия (движения) на орган управления и осуществляемая при помощи неэластичных деталей (например, без пружин) (ГОСТ 30011.5, раздел 3, 2.2).
- незащищенные токопроводящие части;
- сторонние токопроводящие части;
- основной заземляющий зажим (МЭС 826-04-05 с изменениями).
3.46 риск: Сочетание вероятности случайности и тяжести возможной травмы или нанесение вреда здоровью в опасной ситуации (ИСО/ТР 12100-1 [34]).
3.47 безопасный рабочий режим: Методы работы, уменьшающие риск.
Примечание - Потребитель может выступать в качестве своего собственного поставщика.
Примечание - Коммутирующее устройство может выполнять одну или обе эти функции.
3.57 потребитель: Субъект, который использует машину и связанное с ней электрическое оборудование.
Настоящий стандарт распространяется на электрооборудование, используемое с промышленными машинами различного назначения и группой машин, работающих вместе скоординированным образом. Риск, связанный с потенциально опасными явлениями при обращении с электрооборудованием, должен считаться элементом общих требований при оценке опасности машины. Это позволит установить допустимый уровень риска и необходимых мер безопасности для защиты людей, чье присутствие возможно в зоне этих явлений, сохраняя, однако, допустимые рабочие характеристики машины и ее электрооборудования. Опасные явления, не ограничиваясь перечисленными, могут включать:
- отказы или дефекты электрооборудования, ведущие к возможности удара электрическим током или появлению огня (возгоранию) от электрической искры или перегрева;
- отказы или дефекты в цепях управления (или компонентов, или в устройствах, связанных с цепями), ведущие к нарушению работы машины;
- изменение или прерывание питания от внешних источников мощности и отказы или дефекты цепей питания, ведущие к нарушению работы машины;
- потеря проводимости в цепях, имеющих скользящие или вращающиеся контакты, нарушающие функции безопасности;
- электрические помехи (например, электромагнитные, электростатические, радиопомехи) от источников, расположенных с внутренней или внешней стороны электрооборудования;
- накопленная энергия (либо электрическая, либо механическая);
- звук, уровень которого может причинить вред здоровью человека.
Меры безопасности сочетают меры, принятые на этапе разработки и конструирования и выполненные при установке, доводке и использовании оборудования потребителем. В первую очередь меры предосторожности для уменьшения риска должны разрабатываться на стадии конструирования. Когда это невозможно, должна быть предусмотрена защита.
Использование приведенной в приложении В анкеты необходимо для облегчения выработки соглашения между потребителем и поставщиком по вопросам как основных условий, так и дополнительных требований со стороны потребителя к электрооборудованию. Эти дополнительные требования предназначены для того, чтобы:
- обеспечить дополнительные характеристики безопасности, которые зависят от типа машины (или группы машин) и ее применения;
- облегчить обслуживание и ремонт, и
- обеспечить безопасность в работе и легкость в управлении.
Составные элементы и электрические устройства должны быть пригодны к применению в том месте и в условиях, для которых они предназначены, и отвечать требованиям соответствующих стандартов.
4.3.1 Электрооборудование должно быть пригодно для работы в условиях:
- согласно 4.3.2 или 4.3.3, или
- как оговорено потребителями (приложение В), или
- как оговорено поставщиком электроэнергии для случаев ограничения по источнику питания (бортовой генератор).
4.3.2 Питание переменным током
|
Напряжение |
Постоянный режим: 0,9 - 1,1 номинального значения |
|
Частота |
0,99-1,01 номинального значения в постоянном режиме. 0,98-1,02 на короткий период. Примечание - Значения для короткого периода могут быть указаны потребителем (приложение В) |
|
Гармоники |
Гармонические искажения, не превышающие 10 % действующего значения общего напряжения между проводами под напряжением (сумма для гармоник 2-5). Дополнительное гармоническое искажение, равное 2 % общего действующего напряжения между проводами под напряжением (сумма от 16 до 30-й гармоники) |
|
Несимметрия напряжения питания от трехфазной сети |
Ни напряжение составляющей обратной последовательности, ни напряжение составляющей нулевой последовательности не должны превышать 2 % напряжения прямой последовательности |
|
Пики (максимум) напряжения |
Не должны длиться более 1,5 мс с фронтом (нарастания или понижения) от 500 нс до 500 мкс и максимальным (пиковым) значением, не превышающим 200 % номинального значения действующего напряжения питания |
|
Отключение напряжения |
Питание не должно прерываться, или напряжение не должно падать до нуля в течение более 3 мс в любой из моментов периода питания. Между двумя последовательными отключениями должен быть перерыв, равный по меньшей мере 1 с |
|
Провал напряжения |
Провалы напряжения не должны превышать 20 % максимального (пикового) напряжения питания на более чем один период. Между двумя последовательными провалами напряжения должно пройти более 1 с |
4.3.3 Питание постоянным током
|
От гальванических элементов или батареи |
|
|
Напряжение |
0,85-1,15 номинального напряжения. 0,7-1,2 номинального напряжения для бортовых устройств и приборов, работающих от батарей |
|
Отключение напряжения |
Не более 5 мс |
|
От преобразователей |
|
|
Напряжение |
0,9-1,1 номинального напряжения |
|
Отключением напряжения |
Не более 20 мс. Между последовательными отключениями должно проходить более 1 с |
|
Пульсация (от пика к пику) |
Не более 5 % номинального напряжения. Примечание - В этом заключается отличие от требований руководства МЭК 106 [31] в отношении обеспечения надлежащей работы электронной аппаратуры |
4.3.4 Бортовая питающая сеть
Для специальных систем питания, таких как бортовые генераторы, ограничения по 4.3.2 и 4.3.3 могут быть превышены, в связи с чем в конструкции оборудования следует предусматривать возможность возникновения таких ситуаций.
Электрооборудование должно быть пригодно для использования в физической окружающей среде и условиях работы, указанных в 4.4.2 - 4.4.8. Если физическая окружающая среда и/или условия работы отличаются от указанных ниже, может возникнуть необходимость в заключении специального соглашения между поставщиком и потребителем (приложение В).
4.4.2 Электромагнитная совместимость (ЭМС)
Производимые самим оборудованием электромагнитные помехи не должны превышать уровни, которые регламентированы для соответствующей области его применения. Кроме того, оборудование должно иметь определенный уровень стойкости к помехам, обеспечивающий его правильное функционирование в соответствующих условиях.
Примечания
1 В ЕН 50081 [35], ЕН 50082-2 [36] приведены нормы излучения помех и стойкости к их воздействию. Эти требования обсуждаются ТК МЭК 77 и CISPR.
2 В стандартах на продукцию (например, МЭК 60439-1 [18]) следует конкретизировать требования по ЭМС.
Производимые сигналы электрических помех могут быть ограничены путем:
- подавления у источника с использованием конденсаторов, катушек индуктивности, диодов, варисторов, диодов Зенера, активных элементов или их комбинацией, или
- экранирования оборудования для его отделения от другой аппаратуры с помощью проводящего кожуха (экрана), соединенного с эквипотенциальной поверхностью;
Нежелательное воздействие от электростатических разрядов, электромагнитной энергии, излучаемой или производимой помехами (интерференцией) в силовых проводах, может быть уменьшено, например, использованием соответствующих фильтров, сдвига во времени, подбором определенных уровней мощности, видов и способов прокладки электропроводки.
Влияние помех на аппаратуру может быть уменьшено при помощи:
- подсоединения к цепи с эталонным потенциалом или к общей цепи: каждая общая цепь преобразуется в одну цепь и соединяется с одной точкой из имеющихся центральных контрольных точек (рисунок 3), которые заземлены изолированными проводами большого сечения (например, не менее 6 мм2, класса 6, таблица С.5);
- соединений со сторонними проводящими частями (массой): в каждом элементе оборудования все цепи соединения с массой выводят на одну общую точку, а салазки соединяют с оболочками проводом с оплеткой большого сечения; соединения с массой должны быть, насколько это возможно, короткими (п. 8.3.3 и рисунок 3);
- передачи сигналов: чтобы быть уверенным, что соединения, передающие сигналы низкого уровня, не попадут под воздействие помех от силовых кабелей и кабелей управления, необходимо установить электростатические экраны, осуществить электромагнитное экранирование, скрутить провода и позаботиться об относительной ориентации проводов (транспозиция под углом, близким, по возможности, к 90°) или же расположить соединения параллельно, если необходимо, в плоскости сторонней электропроводящей части;
- отделения оборудования: следует отделить и/или изолировать экраном оборудование, обладающее повышенной чувствительностью (например, импульсные устройства и/или устройства низкого уровня), от оборудования отключения (электромагнитные реле, тиристоры и т.д.). Следует отделить электропроводку низкого уровня от силовых кабелей и кабелей управления.
4.4.3 Температура воздуха
Закрытое электрооборудование должно обладать способностью правильно работать при температуре окружающей воздушной среды от 5 до 40 °С. Для горячей или холодной воздушной среды - требования по приложению В.
4.4.4 Влажность
Электрооборудование должно обладать способностью нормально работать при максимальной температуре 40 °С при относительной влажности до 50 % и температуре 20 °С при наибольшей относительной влажности до 90 %. Чтобы избежать вредных воздействий случайной конденсации, необходимо предусмотреть соответствующие меры на этапе конструирования оборудования или, если необходимо, следует принять дополнительные надлежащие меры (например, нагрев, кондиционирование воздуха, сливные и вентиляционные отверстия).
4.4.5 Высота над уровнем моря
Электрооборудование должно обладать способностью нормально работать на высоте до 1000 м над уровнем моря.
4.4.6 Загрязнение
Электрооборудование должно быть защищено надлежащим образом от проникновения твердых тел или жидкостей (п. 12.3). Если окружающая среда там, где должно эксплуатироваться электрооборудование, содержит ненормальное повышенное количество загрязняющих веществ (например, пыль, кислоты, коррозийные газы, соли), может возникнуть необходимость в заключении особого соглашения между изготовителем и потребителем (приложение В).
4.4.7 Ионизирующие и неионизирующие излучения
В случае, когда оборудование находится под прямым воздействием излучений (например, микроволны, лазер, ультрафиолетовые и рентгеновские лучи), чтобы избежать нарушений в работе машины или быстрого разрушения изоляционных материалов, необходимо принять дополнительные меры защиты. При этом может возникнуть необходимость в заключении специального соглашения между поставщиком и потребителем (приложение В).
4.4.8 Вибрация, удары и толчки
Нежелательный эффект от вибрации, ударов и толчков (производимых машиной и ее аппаратурой или создаваемых физическим окружением) должен быть предотвращен, например, выбором надлежащего материала для изготовления оборудования, его установкой отдельно от машины, использованием антивибрационных приспособлений. При этом может возникнуть необходимость в заключении особого соглашения между изготовителем и потребителем (приложение В).
Электрооборудование должно обладать способностью, полученной в результате конструирования или благодаря надлежащим мерам предосторожности, выдерживать колебание температур во время транспортирования и хранения от минус 25 °С до плюс 55 °С и температуру, достигающую 70 °С в течение не более 24 ч. Чтобы не допускать порчи и повреждения, вызываемых влажностью, вибрацией и ударами, необходимо предусматривать применение соответствующих средств защиты.
Примечание - Электрооборудование, чувствительное к низким температурам, включает ПВХ изоляцию тоководов и кабелей.
Тяжелое и массивное оборудование, подлежащее отсоединению от машины на время транспортировки или независимое от нее, должно быть снабжено надежными средствами для погрузки краном или подобными механизмами (п. 14.4.6).
Электрооборудование должно устанавливаться и использоваться в соответствии с инструкциями поставщика. При этом необходимо учитывать принципы эргономики.
Если это является возможным, рекомендуется подсоединять электрооборудование машины к одному источнику питания. Если для некоторых частей оборудования (например, электронные цепи, электромагнитные муфты) необходимо использовать другой источник питания, то это питание должно быть получено, насколько возможно, от приборов и устройств (таких как трансформаторы, преобразователи), являющихся частью электрического оборудования машины. Для машинных комплексов, состоящих из большого числа машин, работающих совместно в согласованном режиме, могут потребоваться различные источники питания, требования к которым определяются в соответствии с 5.3.1.
За исключением случаев, когда машина оснащена разъемным контактным соединением для подключения питания (п. 5.3.2, перечисление d), провода, идущие от источника питания, рекомендуется подсоединять непосредственно к входным зажимам устройств подключения питания.
Если это является невозможным, то в поставку должны входить отдельные зажимы. Нейтральный провод должен использоваться для подключения питания только по соглашению с потребителем (приложение В). В случае его использования, это должно быть четко указано в технической документации на машину, в частности, на принципиальной схеме подключения. Отдельно должен поставляться особый изолированный зажим с маркировкой N для присоединения нейтрального (нулевого) провода. Внутри электрооборудования не должно быть соединения между нейтральным приводом и цепью защитного заземления (зануления), и не допускается использование для них зажима PEN.
Все зажимы для подключения питания должны четко обозначаться в соответствии с МЭК 60445 [19] (о маркировке зажима для провода защитного заземления (зануления), расположенном снаружи, см. 5.2).
Вблизи зажимов соответствующих фазных проводов должен быть зажим для подключения внешнего провода защиты или заземления (п. 8.2.1) в зависимости от системы питания и согласно стандартам на установку. Размер такого зажима должен позволять присоединение внешнего медного провода, сечение которого выбирают в соответствии с таблицей 1.
Таблица 1 - Минимальное поперечное сечение внешнего медного провода защиты, мм2
|
Минимальное поперечное сечение внешнего провода защиты Sp |
|
|
S |
S |
|
16 < S |
16 |
|
S > 15 |
S/2 |
Зажим внешнего провода защиты (МЭК 60445 [19]) должен маркироваться буквами РЕ. Использование обозначения РЕ следует ограничивать только зажимом подключения цепи защиты машины к внешнему проводу защиты системы питания.
Чтобы избежать разночтения, другие зажимы, используемые для соединения компонентов машины с целью защиты, желательно не маркировать буквами РЕ, а обозначать либо символом
(60417-2-МЭК-5019),
либо сочетанием двух цветов - зеленого и желтого.
Устройством отключения питания с ручным управлением должен быть оснащен:
- каждый подвод питания к машине;
- каждый источник питания внутренних нужд;
- каждый бортовой источник питания.
Устройство должно обеспечить отключение электрооборудования машины от сети питания, когда это необходимо (например, для проведения профилактических, ремонтных и других работ).
Если имеется два или более устройств отключения, то для их согласованной работы в опасных ситуациях или при повреждении машины необходимо использовать блокировочные устройства.
Устройство отключения питания должно быть одним из следующих:
a) выключатель-разъединитель, соответствующий ГОСТ 30011.3, категории использования АС-23В или DC-23B;
b) разъединитель, с предохранителем или без него, в соответствии с ГОСТ 30011.3, оснащенный вспомогательным контактом, который вызывает во всех случаях размыкание цепи нагрузки коммутационными аппаратами перед разъединением основных контактов разъединителя;
c) выключатель, пригодный для операций отключения, в соответствии с ГОСТ Р 50030.2;
d) комбинация разъемного контактного соединителя с вилкой и розеточной частью для машины, потребляющий номинальный ток, не превышающий или равный 16 А, и общей мощностью двигателей не выше 3 кВт;
e) розетка с вилкой или разъем (п. 3.39), подводящий электропроводку к движущейся машине при следующих условиях:
- чтобы было невозможно подключить и отключить вилку с розеткой или разъем под нагрузкой без отключения мощности;
- чтобы подключение вилки с розеткой и разъемом обеспечивало защиту не менее чем IP2X или IPXXB.
В случае, если разъемное контактное соединение используют в качестве устройства отключения, узел соединитель - штепсельная розетка должен обладать отключающей способностью, равной, по меньшей мере, номинальному току машины при номинальном напряжении (п. 14.4.5). Если этот узел будет использован для разъединения при перегрузке (например, блокировке ротора), то при определении размеров следует учитывать, по крайней мере, ток во время блокировки ротора. Кроме того, электрооборудование должно быть оснащено устройством для выключения, т.е. для подачи напряжения на машину и его отключения.
Указанные в 5.3.2, перечисления а) - с) устройства отключения (выключатель-разъединитель, разъединитель или выключатель) должны удовлетворять следующим требованиям:
-
отключать питание электрооборудования и иметь только одно положение ОТКЛЮЧЕНИЕ
НАПРЯЖЕНИЯ и одно положение ВКЛЮЧЕНИЕ НАПРЯЖЕНИЯ (ВКЛ. и ВЫКЛ.), четко
обозначаемые знаками «
» и «
»
(символы 60417-2-МЭК-5008 и 60417-2-МЭК-5007, 10.2.2) и направлениями
срабатывания в соответствии с требованиями ГОСТ 21991. Выключатели, которые, в
дополнение к этому, имеют положение возврата в исходное положение
(расцепление), могут рассматриваться как удовлетворяющие этому требованию;
- иметь видимое разъединение или индикатор положения, который может указывать положение ОТКЛЮЧЕНИЕ НАПРЯЖЕНИЯ только в случае, если все контакты в действительности открыты, т.е. разомкнуты и удалены друг от друга на расстояние отключения в соответствии с ГОСТ 30011.3;
- быть снабжено расположенным снаружи ручным приводом (например, ручкой). Исключение для управляемых внешним источником энергии, когда воздействие вручную должно быть невозможным при наличии иного внешнего привода. Рекомендуются применять черный и серый цвета для окраски ручного привода (исключение 10.7.4);
- обладать средствами для запирания в положение ОТКЛЮЧЕНИЕ НАПРЯЖЕНИЯ (например, при помощи висячих замков). При таком стопорении возможность как дистанционного, так и местного включения должна быть исключена;
- отключать питание всех токоподводящих проводов. Однако в схеме питания TN нейтральный провод может или отключаться, или не отключаться. Следует заметить, что в некоторых странах отключение нейтрали (если она используется) является обязательным;
- иметь достаточную отключающую способность, позволяющую прервать питание током самого мощного двигателя при его заклинивании, в сумме с токами всех других двигателей и/или нагрузок, образующимися при их нормальной работе.
Ручка устройства отключения питания должна быть легкодоступна и находиться на высоте над рабочей площадкой от 0,6 до 1,9 м. Уровень 1,7 м наиболее удобен.
5.3.5 Цепи, на которые не распространяются общие правила по подключению к источнику питания
Указанные ниже цепи могут не размыкаться устройством отключения питания:
- линии цепей освещения (осветительная проводка), питающие лампы, которые используют во время работ по обслуживанию или ремонту; цепи питания соединителей, используемые исключительно для подключения рабочих инструментов для ремонта и обслуживания (например, ручная электродрель, испытательное оборудование);
- низковольтные цепи защиты, используемые только для автоматического отключения во время перерывов в электроснабжении;
- цепи питания оборудования, которые должны обычно оставаться под напряжением для обеспечения нормальной работы машины (например, температурные измерительные приборы, производственные нагревательные устройства и устройства для хранения программы), и
- цепи блокировки.
Рекомендуется, однако, оснащать эти цепи их собственными устройствами отключения. Если такие цепи не размыкаются устройством отключения питания, то:
- необходимо располагать предупредительный знак (например, на этикетках, метках, ярлыках) вблизи устройства, отключающего всю машину от питающей сети;
- в руководство по обслуживанию должно быть включено соответственное указание;
- необходимо располагать постоянный предупредительный знак (сигнальную метку, бирку) вблизи от такой цепи или прокладывать их отдельно от других цепей, или применять цепи блокировки, имеющие изоляцию, окрашенную в соответствии с 14.2.4.
Расцепляющие устройства (расцепители) для предотвращения неожиданных непредусмотренных повторных запусков должны входить в комплект поставки (например, при проведении работ по обслуживанию может возникнуть опасность в результате внезапного повторного запуска машины). Эту функцию может выполнять устройство отключения питания (п. 5.3.2). Для этой цели могут использоваться разъединители, съемные предохранители или съемные перемычки, но они при этом должны размещаться только в отдельно закрытой оболочкой зоне управления (п. 3.17).
Такие устройства должны быть удобны для целенаправленного использования и размещены в легкодоступном месте. Их обозначение должно быть визуально доступно, легко идентифицироваться и, если необходимо, иметь стойкую и долговечную маркировку.
Чтобы избежать несвоевременного срабатывания или сбоя в работе устройства отключения, необходимо принять соответствующие меры предосторожности (п. 5.6).
Устройства, отличающиеся от устройств отключения питания по 5.3.2 (например, цепи управления для выключения контактора), должны применяться только в ситуациях, когда не производится:
a) демонтаж машины;
b) выполнение регулировок, занимающих относительно длительное время;
c) работа с электрическим оборудованием, за исключением случаев, когда:
- отсутствует опасность поражения электрическим током или возгорания (раздел 6);
- команда об отключении не может аннулироваться включением в работу;
- объем работ незначителен (например, замена вставных устройств без нарушения существующей электропроводки).
Примечание - Настоящий стандарт не содержит правил прерывания питания неэлектрической энергией.
Устройство должно быть пригодно для отключения (изоляции) электрооборудования на время работ с целью исключения риска получения ожога или электрошока.
Устройство для отключения (п. 5.3) может, в некоторых случаях, выполнять эти функции. Однако если это необходимо для работы, на одной из частей машины или электрооборудования машины или на одной из машин, подключенных через сборную стойку или пункт разводки, устройством для отключения должна быть оборудована каждая часть или каждая из машин, требующая отдельного изолирования. Устройство для отключения по 5.3.2 может удовлетворять этим требованиям. Разъединители, фазовые короткозамыкатели и тому подобные устройства могут быть использованы для этих целей, но только тогда, когда они установлены в закрытой зоне управления. Такие разъединяющие устройства должны:
- быть подходящими и удобными для вышеуказанных целей;
- быть пригодными для выделения в отдельную оболочку;
- легко определять, какую часть машины или цепи обслуживают (наличие в случае необходимости стойкой маркировки);
- адекватно обеспечивать предотвращение несанкционированных или/и ошибочных замыканий устройства (за исключением требований 5.6).
Устройства, описанные в 5.4 и 5.5, могут быть оборудованы с целью фиксации их в позиции «ОТКЛЮЧЕНО» или разъединенном состоянии (с запорами, чем обеспечат защиту от несанкционированных, непреднамеренных и/или ошибочных соединений). Другие меры защиты от таких соединений (предупредительные знаки) могут быть использованы там, где незапираемые разъединители (удаляемые предохранители, перемычки) установлены в отдельном электрошкафу.
Однако при использовании розетки с вилкой согласно 5.3.2, перечисления d) или е), которые постоянно находятся в поле зрения работающего, нет необходимости в средствах блокировки в положении «ОТКЛЮЧЕНО».
Электрооборудование должно обеспечивать защиту людей от поражений электрическим током, которые могут произойти в результате:
- прямого контакта;
- непрямого контакта.
Эта защита должна осуществляться с использованием мер, указанных в 6.2 - 6.4 настоящего стандарта, определенных ГОСТ 30331.3/ГОСТ Р 50571.3. Если эти меры не могут быть использованы, то применяют другие, рекомендованные ГОСТ 30331.3/ГОСТ Р 50571.3.
Для каждой цепи или узла оборудования должны быть приняты меры, указанные в 6.2.2 и 6.2.3 или 6.2.4. Если эти меры невозможны, то применяют другие средства защиты от прямого контакта (например, используют перегородки и любые другие конструктивные или установочные средства, препятствующие доступу к ним, или размещают их вне пределов досягаемости), как описано в ГОСТ 30331.3/ГОСТ Р 50571.3 (п. 6.2.5 и 6.2.6 настоящего стандарта).
Если оборудование размещено в местах, доступных всем, в том числе детям и инвалидам, необходимо использовать средства, описанные в 6.2.3 или 6.2.2, обеспечивающие минимальную степень защиты от прямого контакта IP4X или IPXXD (ГОСТ 14254).
6.2.2 Защита при помощи оболочек (кожухов)
Активные части должны помещаться внутрь кожухов в соответствии с техническими требованиями разделов 4, 12 и 15 настоящего стандарта (ГОСТ Р МЭК 536), чтобы обеспечить степень защиты от прямого контакта не менее IP2X или IPXXB (ГОСТ 14254).
Если верхняя часть кожуха является легкодоступной, то минимальная степень защиты от прямых контактов для нее должна быть IP4X или IPXXD. Отверстия в кожухе (есть смотровые отверстия дверей, крышки, панели и т.п.) должны быть предусмотрены только при выполнении одного из следующих условий.
а) Для доступа к оборудованию квалифицированных или предупрежденных лиц должны использоваться специальный ключ или инструмент. Для электрооборудования, находящегося внутри кожухов, действительны особые требования (ГОСТ 30331.3/ГОСТ Р 50571.3, ГОСТ 30331.8/ГОСТ Р 50571.8 или МЭК 60439-1 [18]).
Расположенные на внутренней поверхности дверей токоведущие части должны иметь минимальную степень защиты от прямых контактов IP1X или IPXXA. Активные части, касание которых возможно при повторном включении или настройке устройств, производимых на оборудовании под напряжением, должны иметь минимальную степень защиты IP2X или IPXXB.
b) Отключение всех токоведущих частей, расположенных внутри кожуха, перед его возможным открытием.
Эта мера может быть осуществлена блокировкой двери с разъединителем (например, устройством отключения питания) таким образом, чтобы дверь могла быть открыта только после выключения разъединителя, а последний мог включаться только после закрытия двери. Однако применение специальных устройств или инструмента, соответствующих требованиям поставщика, может позволить доступ квалифицированному персоналу к токоведущим частям при условии, что:
- после нейтрализации (снятия) блокировки с двери можно всегда выключить разъединитель, и
- блокировка автоматически восстановится после закрытия двери.
Если для доступа к токоведущим частям имеется не только одна дверь, необходимо принять меры, чтобы добиться этого доступа.
Все части, которые остаются токоведущими после выключения одного или нескольких устройств отключения питания, должны иметь минимальную степень защиты от прямых контактов IP2X или IPXXB (ГОСТ 14254).
Защищенные таким образом части должны иметь предупреждающий знак в соответствии с 17.2 (также 14.2.4 по идентификации проводов цветом изоляции). Исключением из этих требований являются:
- детали, которые могут быть токоведущими из-за подключения к цепям блокировки; такие потенциально токоведущие детали выделяют цветом изоляции согласно 14.2.4;
- зажимы питания устройства отключения, если оно установлено в единственном экземпляре в отдельном кожухе.
c) Открытие кожуха без использования ключа или инструмента, или без отключения токоведущих частей должно быть возможным только тогда, когда все токоведущие части имеют минимальную степень защиты IP2X или IPXXB (ГОСТ 14254). Если заграждения обеспечивают эту защиту, они должны либо нуждаться в применении инструмента для их демонтажа, либо вызывать автоматическое отключение токоведущих частей при демонтаже.
6.2.3 Защита путем изоляции токоведущих частей
Активные части должны быть полностью покрыты изоляцией, снять которую не представляется возможным без ее разрушения. Эта изоляция должна обладать способностью выдерживать механические, электрические и термические нагрузки, химические воздействия, которым она может подвергаться в обычных условиях эксплуатации.
Краски, лаки, эмали и другие подобные продукты, используемые по отдельности, не рассматривают, как правило, в качестве покрытий, способных обеспечить защиту от ударов электрическим током в условиях нормальной эксплуатации.
6.2.4 Защита от остаточных напряжений
Любое остаточное напряжение на токоведущих частях, превышающее 60 В, должно быть снижено до 60 В или менее за время не более 5 с после отключения напряжения питания при условии, что такая интенсивность разряда не нарушит нормальную работу оборудования. Это требование не распространяется на компоненты, имеющие остаточный заряд до 60 мкКл или менее. В последнем случае, чтобы обратить внимание на возможную опасность, на видном месте или рядом с кожухом электрических емкостей должна быть помещена предупредительная табличка с указанием необходимого времени выдержки перед открытием кожуха.
В случае использования разъемных контактных соединений или подобных устройств, выемка которых сопровождается обнажением токопроводящих частей (например, контактные штыри), время разряда не должно превышать 1 с; в противном случае эти токопроводящие части должны иметь минимальную защиту степени IP2X или IPXXB. Если время разряда превышает 1 с или невозможно обеспечить указанную защиту (например, при съемных коллекторах, проводах, шинах или контактных кольцах, п. 13.8.4), необходимо использовать дополнительные устройства отключения или предупреждения.
6.2.5 Защита с помощью барьеров
Защита с помощью барьеров - по ГОСТ 30331.3/ГОСТ Р 50571.3, 12.2.
6.2.6 Защита размещением вне пределов досягаемости
Защита оборудования, находящегося вне пределов досягаемости, - ГОСТ 30331.3/ГОСТ Р 50571.3, 12.4.
Защита с помощью размещения - по ГОСТ 30331.3/ГОСТ Р 50571.3, 12.3.
Панели и стойки (кроссовые панели), предназначенные для коммутации проводников (активных частей), должны иметь степень защиты не ниже IP2X (п. 13.8.1).
Защита от непрямого контакта (п. 3.27) предназначена для предотвращения опасных условий, которые могут создаваться в результате дефекта изоляции между токоведущими частями и внешними незащищенными (открытыми) токопроводящими частями.
Для каждой цепи или части электрооборудования должно применяться, по меньшей мере, одно из указанных в 6.3.2, 6.3.3 требований.
Защита против непрямого контакта может осуществляться:
- с помощью средств, препятствующих контакту с деталями, находящимися под высоким напряжением или
- посредством автоматического отключения питания до наступления контакта с высоким напряжением.
Эти меры требуют координации между:
- системами питания и заземления;
- величинами разности потенциалов на различных элементах цепи защитного заземления;
- характеристиками защитных устройств, используемых для определения повреждения изоляции.
Примечание - Относительно классов оборудования и технических требований защиты см. ГОСТ Р МЭК 536.
6.3.2 Меры, исключающие случайное появление опасного напряжения
Эти меры включают в себя:
- использование оборудования класса II или эквивалентной изоляции;
- электрическое разделение;
- выбор или конструктивное использование системы питания.
6.3.2.2 Защита путем использования оборудования класса II или эквивалентной изоляции
Предназначена для предотвращения появления опасных напряжений в доступных местах при нарушении основной изоляции.
Эта защита должна достигаться в ходе одного или нескольких действий:
- использованием аппаратуры или электрооборудования класса II (с двойной, усиленной или эквивалентной изоляцией в соответствии с ГОСТ Р МЭК 536);
- использованием аппаратуры с общей изоляцией в соответствии с МЭК 60439-1 [18];
- использованием дополнительной или усиленной изоляции в соответствии с ГОСТ 30331.3/ГОСТ Р 50571.3, 13.2.
6.3.2.3 Защита электрической развязкой (разделением)
Электрическая развязка отдельной цепи служит для предотвращения появления опасного напряжения на токопроводящих частях, способных оказаться под напряжением в случае нарушения основной изоляции токоведущих частей такой цепи.
На защиту этого типа должны распространяться требования, указанные в ГОСТ 30331.3/ГОСТ Р 50571.3, 13.5.
6.3.2.4 Конструктивное исполнение питающей сети
Эта защита основана на применении питающей сети с изолированной нейтралью или имеющей такое большое сопротивление относительно земли, чтобы в случае короткого замыкания не возникло опасное напряжение.
6.3.3 Защита автоматическим отключением питания
Автоматическое отключение питания любой цепи эффективно в случае, когда при нарушении изоляции оно может предотвратить условия появления опасного напряжения.
Эти защитные меры охватывают:
- подключение внешних проводящих частей к цепям защиты (раздел 8)
- и соответственно:
a) использование защитной аппаратуры для отключения от питающей сети при нарушении изоляции в сети TN или ТТ системы;
b) применение систем контроля тока утечки или замыкания на землю для отключения питающей сети в IТ системе. Если используется контроль замыкания на землю, то вначале подается сигнал тревоги, предваряющий отключение питания.
Защита этого типа защиты соответствует требованиям ГОСТ 30331.3/ГОСТ Р 50571.3, 413.1.
Применение БСНН предназначено для защиты людей от ударов электрическим током во время прямых или непрямых контактов и ограничения прямого контакта. Цепи БСНН должны удовлетворять следующим условиям:
a) номинальное напряжение не должно превышать:
25 В действующего значения переменного тока или 60 В выпрямленного значения постоянного тока при эксплуатации оборудования в сухом помещении и наличии множества активных частей, не защищенных от контакта с телом человека;
6 В действующего значения переменного тока и 15 В выпрямленного значения постоянного тока во всех других случаях.
Примечание - Пульсации для выпрямленного значения определяются по отношению к синусоидальным напряжениям и в пределах не более 10 % от действующего значения;
b) одна сторона цепи или точка источника питания этой цепи должна быть соединена с цепью защиты, выводимой на высокие напряжения;
c) токоведущие части цепей БСНН должны быть изолированы от других токоведущих цепей. Средства изоляции должны быть не ниже тех, которые требуются для разделения первичной и вторичной цепей разделительного трансформатора (ГОСТ 30030);
d) проводники БСНН должны быть проложены отдельно от проводников других цепей; на практике изоляцию цепей выбирают в соответствии с 14.1.3;
e) разъемные контактные соединения в цепях БСНН должны удовлетворять следующим требованиям:
1) штепсельные вилки не должны входить в розеточные части других цепей,
2) штепсельные розетки и розеточные части должны исключать возможность введения вилок других цепей.
Система БСНН может быть одной из следующих:
- трансформатор с двойной изоляцией (разделительный);
- питающее устройство с двойной или эквивалентной изоляцией;
- электрохимический источник или другой вид независимой питающей сети (дизель-генератор и т.п.);
- электронные силовые блоки, в случае нарушения изоляции снижающие напряжение до значений, не превышающих указанных в 6.4.1.
Ниже приведены меры, которые должны быть приняты для защиты оборудования от воздействия:
- перегрузки в результате короткого замыкания;
- токов перегрузки;
- дефектов заземления;
- скачков напряжения во время грозового разряда или переключения;
- аномальных температур;
- потерь или снижения напряжения питания;
- разносной частоты вращения для машины или ее узлов (разгон до разноса);
- неправильного чередования фаз.
7.2.1 Общие положения
Защита от сверхтоков должна быть предусмотрена, как указано ниже, если ток в цепи машины может превысить расчетное значение компонента или максимально допустимую нагрузку в проводах. Принимается наиболее низкое значение из двух. Выбор уставок производится согласно 7.2.10.
Если нет особых указаний потребителя, поставщик не должен отвечать за поставку устройств защиты от сверхтоков для проводов, питающих электрооборудование.
Поставщик электрооборудования должен указать на монтажной схеме сведения, необходимые для выбора этого устройства защиты от сверхтоков (п. 7.2.10, 18.5 и приложение В).
Все провода, за исключением заземленных нейтральных, должны быть защищены от сверхтоков соответствующими устройствами, выбранными согласно 7.2.10.
Устройства для обнаружения и прерывания сверхтоков, выбираемые согласно 7.2.10, должны быть включены во все токоведущие провода.
Если поперечное сечение заземленных нейтральных проводов (в случае их использования) равны как минимум сечению соединенных фазных проводов, отпадает необходимость предусматривать средства для обнаружения и прерывания сверхтоков в нейтральном проводе.
Для нейтральных проводов с поперечным сечением меньшим, чем сечение фазных проводов, должны быть приняты меры, приведенные в ГОСТ 30331.9/ГОСТ Р 50571.9, 3.3.2.1, перечисление b).
В схемах IT рекомендуется не применять нейтральный провод. Однако если такой провод используют, то необходимо предусматривать защиту от сверхтоков для этого провода в соответствии с ГОСТ 30331.9/ГОСТ Р 50571.9, 3.2.2.
Провода цепей управления, соединенные непосредственно с силовой цепью и цепью питания трансформаторов в цепях управления, должны быть защищены от сверхтоков в соответствии с 7.2.3.
Когда цепи управления питаются через трансформатор, один из выводов вторичной обмотки которого соединен с цепью защиты, устройство защиты от сверхтоков требуется только на другом проводе вторичной цепи.
7.2.5 Разъемные контактные соединения и подводимые к ним провода
Защита от сверхтоков должна требоваться для цепей, питающих разъемные контактные соединения общего назначения, которые предназначены в основном для подвода питания к оборудованию для обслуживания.
Устройства защиты от сверхтоков должны устанавливаться в незаземленных токоведущих проводах каждой цепи, питающей такие разъемные контактные соединения.
Все незаземленные провода цепей освещения должны быть защищены от коротких замыканий устройствами защиты от сверхтоков, которые независимы от устройств, защищающих другие цепи.
Трансформаторы должны быть защищены от сверхтоков наиболее подходящим способом в соответствии с требованиями МЭК 60076-5 [10] и ГОСТ 30030. Такая защита должна (п. 7.2.10);
- предупреждать ложное отключение, вызываемое намагничивающими токами при включении трансформаторов;
- предупреждать нагревание обмоток, превышающее допустимое значение, определяемое классом изоляции трансформатора, в случае воздействия короткого замыкания на его вторичные зажимы.
Необходимо, чтобы тип и регулировка устройства защиты от сверхтоков соответствовали рекомендациям поставщика трансформатора.
7.2.8 Размещение устройств защиты от сверхтоков
Устройства защиты от сверхтоков должны подключаться в том месте, где защищаемые провода соединяются с источником питания. Когда также подключение выполнить невозможно, то при использовании проводов цепи с допустимой нагрузкой по току меньшей, чем у питающих проводов, не требуется никакой защиты от сверхтоков при условии, что возможность короткого замыкания уменьшена всеми указанными ниже мерами:
- допустимый ток проводов равен, по меньшей мере, значению тока нагрузки;
- каждый провод соединения с устройствами защиты от сверхтоков не длиннее 3 м;
- провода защищаются кожухом или каналом (трубопроводом).
7.2.9 Устройство защиты от сверхтоков
Отключающая способность (разрывная мощность) должна быть равна, по меньшей мере, току короткого замыкания, предполагаемому в этой точке установки устройства защиты. Там, где к току короткого замыкания, поступающему на защитные устройства, могут добавляться еще и другие токи (например, от электродвигателей и силовых компенсирующих конденсаторов), их следует принимать во внимание.
Допускается более низкая отключающая способность, если другое устройство защиты (например, от сверхтоков в питающих проводах - п. 7.2.2), обладающее необходимой отключающей способностью отключения, установлено на стороне питания. В таком случае характеристики этих устройств должны быть согласованы таким образом, чтобы энергия, проходящая через два соединенных последовательно устройства, не превысила величину, которую может выдерживать без отказа устройство защиты со стороны нагрузки и провода, защищаемых этим устройством (ГОСТ Р 50030.2, приложение А).
Примечание - Для работы обоих устройств защиты от сверхтоков необходимо согласование их характеристик.
Устройства защиты от сверхтоков для силовых цепей включают предохранители и выключатели. Для снижения или ограничения тока в защищенных цепях могут быть использованы полупроводниковые приборы. При использовании предохранителей следует выбирать наиболее распространенный и легкодоступный в стране применения тип или следует договориться с потребителем в отношении поставки запасных частей.
7.2.10 Номинальное значение тока и подстройка устройств защиты от сверхтоков
Величины номинальных токов плавких предохранителей и токов уставки других устройств защиты от сверхтоков должны быть выбраны как можно меньшими, с учетом токов перегрузки, возникающих, например, при запуске двигателей или включении трансформаторов под напряжение. При выборе устройств защиты необходимо учитывать защиту коммутационных аппаратов цепи управления в случае перегрузки, например, от приваривания контактов.
Номинальный ток и величины токов уставки устройств защиты от сверхтоков определяются не только допустимой нагрузкой по току в защищаемых этим устройством проводах в соответствии с 13.4. Одновременно следует учитывать потребности согласования с другими электрическими приборами защищенной цепи. При этом необходимо соблюдать рекомендации поставщика этих приборов.
Все двигатели, мощность которых превышает 0,5 кВт, должны быть защищены от перегрузок. В случаях, когда автоматическое отключение двигателя является нежелательным (например, в насосах пожарного тушения), защитное устройство должно давать сигнал тревоги, способный вызвать ответные действия у оператора. Для двигателей, которые не могут быть перегружены (тормозные, защищенные с помощью механических средств защиты, ввиду их соответствующих размеров), устройствами защиты можно пренебречь. Эта защита может обеспечиваться в результате использования устройств защиты от перегрузок, то есть температурными датчиками или ограничителями тока.
Примечание - Устройства защиты от перегрузок выявляют параметры время/ток, превышающие расчетную полную нагрузку цепи и реализуют их в соответствующих цепях управления.
Устройства с элементом, чувствительным к перегрузкам, по ГОСТ 28330 (исключение составляет случаи ограничения тока или использования встроенной тепловой защиты, например термисторов, включенных в обмотки двигателя) должны быть подобраны для каждого токоведущего проводника, за исключением нейтрали. Однако количество чувствительных элементов может быть уменьшено по желанию потребителя (приложение В). Для однофазных двигателей или двигателей постоянного тока допускается применение устройства защиты на одном незаземленном токоведущем проводе.
Когда защита от перегрузок производится отключением, выключатель должен отключить все токоведущие провода, кроме нейтрального (п. 7.2.3), в отключении которого не всегда есть необходимость.
Если двигатели обладают специальными характеристиками для запуска и частого торможения (например, двигатели, используемые для осуществления быстрых перемещений, зажимных ускоренных реверсов, высокоскоростных механизмов, сверления), может возникнуть трудность в реализации защиты от перегрузок, из-за того, что постоянная времени устройства сравнима с подобным значением для обмоток защищаемого двигателя. Использование соответствующих устройств защиты, сконструированных для двигателей специального назначения, является наиболее предпочтительным.
Использование двигателей со встроенной тепловой защитой (ГОСТ 28330) рекомендуется в случаях, когда охлаждение может быть нарушено в результате неисправности (например, из-за повышенной запыленности).
Встроенная тепловая защита может не обеспечить защиту при блокировке ротора или обрыве фазы (для разных типов двигателей), и тогда может возникнуть необходимость в дополнительных мерах.
Если при повторном автоматическом запуске двигателя (самозапуске) после срабатывания защиты от перегрузок может возникнуть опасная ситуация или может быть нанесен ущерб машине и производству, то должны быть предприняты меры по его предупреждению.
Цепи накала сопротивлением или другие, которые могут достичь или вызвать аномальные температуры и быть, таким образом, причиной опасных ситуаций, должны быть оснащены чувствительным элементом, вызывающим немедленную реакцию органов управления. Примером может служить цепь накала сопротивлением, которая калибруется для кратковременной работы или теряет свое средство охлаждения (хладагент).
Если падение напряжения или прерывание питания может стать причиной опасной ситуации, нанести ущерб машине или производству, необходимо предусмотреть низковольтное устройство для обеспечения соответствующей защиты (например, отключение питания) при определенном уровне напряжения.
Если при работе машины допустимо отключение или снижение напряжения в течение короткого периода времени, то может быть использовано устройство с настройкой на минимальное напряжение. Работа устройства защиты с настройкой на минимальное напряжение не должна влиять на срабатывание какого-либо органа управления остановкой машины.
Повторный автоматический запуск (самозапуск) машины после срабатывания защитного устройства должен быть невозможен, если это может создать опасную ситуацию.
В случае, когда снижение напряжения или прерывание питания могут повлиять только на работоспособность части машины или группы машин, работающих вместе в согласованном порядке, необходимо предусмотреть такое размещение устройства на этой части, чтобы осуществлялся скоординированный контроль за остальной частью системы.
Защита от разносных частот вращения с учетом мер, указанных в 9.4.2, должна быть предусмотрена в случае, когда это может привести к созданию опасной ситуации. Защита должна вызывать соответствующую реакцию органов управления и предотвращать повторный автоматический запуск.
Примечание - Защита должна состоять, например, из центробежного выключателя или монитора ограничения скорости. Она должна действовать таким образом, чтобы механически ограничивать частоту вращения двигателя или его нагрузку во избежание их чрезмерного роста.
Как указано в 6.3, защиту этого вида используют для автоматического отключения оборудования во избежание повреждений, когда токи короткого замыкания недостаточны для срабатывания защиты от короткого замыкания.
Уставка аппаратов должна выбираться как можно меньшей для точного управления оборудованием.
В случае если перекос фаз может вызвать нарушения в работе машины, такая защита должна быть установлена.
Примечание - Условия эксплуатации, которые могут привести к перекосу фаз, включают:
- замену одного источника питания машины на другой;
- подключение мобильной машины к внешнему источнику питания.
Защитные устройства должны быть постоянными и обеспечивать подавление перенапряжений при работе освещения и переключениях.
Устройства для подавления перенапряжений при работе освещения должны быть подключены непосредственно к клеммам питания отключающих приборов.
Устройства подавления перенапряжений при переключениях должны подключаться через клеммы питания всего оборудования, требующего такой защиты.
Раздел содержит требования к соединениям, которые выполняют одновременно рабочие и защитные функции. Рисунок 3 иллюстрирует эти функции.
Рисунок 3 - Пример эквипотенциального соединения машины
Цепь защиты включает:
- зажим РЕ (п. 5.2);
- токопроводящие части электрооборудования и машины, в том числе скользящие контакты, являющиеся частью цепи;
- провода защиты электрооборудования машины.
На подвижных машинах с источниками питания на борту цепи защиты, сторонние токопроводящие части и все внешние токопроводящие части должны подключаться к зажиму защитной цепи, чтобы обеспечить защиту от удара током. Если подвижную машину можно также подключить к внешнему источнику питания, то зажим ее цепи защиты одновременно должен быть контактом для подключения внешнего проводника защиты.
Примечание - Когда источник электропитания является частью стационарного или движущегося оборудования, а внешний источник питания не подключен (например, не подключено бортовое зарядное устройство), нет необходимости подключать такое оборудование к внешнему проводнику защиты.
Все части цепи защиты должны быть сконструированы таким образом, чтобы выдерживать наиболее высокие механические и термические напряжения, которые могут вызываться аварийными токами замыкания на землю, способными циркулировать в этих частях цепи защиты.
Структурные элементы электрооборудования или машины могут быть использованы в качестве части цепи защиты при условии, что поперечное сечение детали будет эквивалентно, по крайней мере с электрической точки зрения, поперечному сечению требуемого медного провода (ГОСТ Р 50571.10).
Если используют систему питания IТ, сама машина и устройство контроля исправности заземления должны быть частью цепи защиты. Если все оборудование соответствует 6.3.2.2, подключение машины к цепи защиты не требуется.
Провода защиты должны маркироваться в соответствии с 14.2.2.
Рекомендуется использовать провода с медными проводниками. При использовании других, не медных проводов, их электрическое сопротивление на единицу длины не должно превышать допустимое значение для медных проводов, а их поперечное сечение не должно быть менее 16 мм2.
Поперечное сечение проводов защиты должно определяться в соответствии с требованиями ГОСТ Р 50571.10, 3.1 или МЭК 60439-1 [18], 7.4.3.1.7.
Это требование подтверждается в большей части случаев, если отношение между поперечным сечением активных проводов, соединенных с этой частью оборудования, и сечением соответствующего проводника цепи защиты удовлетворяет таблице 1.
8.2.3 Непрерывность цепи защиты
Все внешние электропроводящие части электрооборудования или машины (машин) должны быть соединены с цепью защиты. Если какая-либо часть удаляется, например, при ремонтных работах, то защитная цепь для оставшихся не должна быть прервана.
Сопротивление каждой части эквипотенциальной цепи защиты должно препятствовать наличию опасного контактного напряжения на внешних электропроводящих частях в случае нарушения изоляции. Точки соединений и пайки должны предусматриваться таким образом, чтобы их токопроводящие характеристики не ухудшались при механических, химических и электрохимических воздействиях. При использовании кожухов или проводов из алюминия или его сплава необходимо, в частности, учитывать последствия электролитической коррозии.
Гибкие или жесткие металлические каналы и металлические оболочки кабелей не должны использоваться в качестве проводов защиты. Однако такие металлические каналы и металлическая защита кабелей (например, стальная труба, обшивка, свинцовая оболочка и т.д.) должны быть соединены с цепью защиты.
Непрерывность цепи защиты должна быть обеспечена для электрооборудования, которое монтируется на закрывающиеся крышки, двери и поворотные панели. Она не должна достигаться системами закрытия, шарнирами, несущими шинами, а проводами защиты, которые соединены с оборудованием (п. 8.2.2). В противном случае следует использовать крепежные детали, петли или скользящие контакты, защищенные от коррозии, для того, чтобы обеспечить низкое сопротивление (п. 19.2).
Непрерывность гибких проводников защиты, которые легко повредить (например, гибкого тягового кабеля), должна быть обеспечена с помощью соответствующих средств (например, мониторинга).
В отношении требований непрерывности для проводников защиты, включающих щетки, провода и контактные кольца, - см. 13.8.2.
8.2.4 Исключение коммутационных аппаратов из цепи защиты
Цепь защиты не должна содержать коммутационных аппаратов, устройств защиты от сверхтоков (например, выключателей, предохранителей) и устройств обнаружения тока, используемых в этих аппаратах. Единственными элементами отключения, которые допускается включать в цепь защиты, являются разъединительные вставки. Их выключение может производиться только квалифицированным персоналом для проведения определенных испытаний или измерений, предпочтительно при помощи инструмента (ГОСТ Р 50571.10, 3.3).
Примечание - Допускается применение устройств, которые не вызывают разъединения цепи защиты при условии, что их электрические характеристики препятствуют во всех случаях опасному повышению напряжения в какой-либо части цепи, и они не ухудшают рабочих характеристик цепи.
8.2.5 Детали, подсоединение которых к цепи защиты не является необходимым
Некоторые сторонние электропроводящие части не требуется подсоединять к цепи защиты, если они установлены таким образом, что не могут вызвать опасности, так как:
- не имеют широких контактных поверхностей и не могут быть взяты рукой;
-
имеют незначительные размеры (менее 50
50 мм), или
- установлены таким образом, что контакт с токоведущими частями или нарушение изоляции являются невозможными.
Это распространяется на мелкие детали, такие как винты, заклепки, сигнальные таблички и детали, расположенные внутри кожуха и независящие от их размера (например, электромагниты контакторов или реле, механические части устройств) (ГОСТ 30331.8/ГОСТ Р 50571.8, 1.2.2).
8.2.6 Отключение цепи защиты соединителями
Когда цепь защиты может быть отключена соединителями или разъемными контактными соединениями, эквипотенциальная цепь защиты должна размыкаться только после отключения токоведущих частей, а ее непрерывность должна быть восстановлена перед включением под напряжение токоведущих частей. Это относится к разъемным контактным соединителям (п. 14.4.5).
Металлические оболочки соединителей и разъемов должны быть соединены с цепью защиты, если они не используются для БСНН.
8.2.7 Присоединение проводов защиты
Все провода защиты должны быть подключены в соответствии с 14.1.1. Запрещается использовать соединения проводов защиты в качестве зажимов, которые используются для соединения и фиксации между собой устройств или деталей.
Каждая
точка подключения провода защиты должна обозначаться символом 60417-2-МЭК-5019:![]()
Для зажимов, используемых для подключения цепи защиты, это обозначение может быть заменено сочетанием зеленого и желтого цветов. Буквы РЕ предназначены для зажима подключения внешнего провода защиты (п. 5.2).
Основной целью оперативных связей является уменьшение:
- последствий, связанных с нарушением изоляции, которые могут сказаться на управлении машиной (п. 8.3.2);
- влияния помех на работу электрооборудования, чувствительного к ним (п. 8.3.3).
8.3.2 Повреждения (пробои) изоляции
Защита от непредусмотренных срабатываний в результате повреждений изоляции может быть достигнута путем соединения одной из полярностей цепи управления, питающейся от трансформатора, с цепью защиты. При этом приборы управления соединяют с цепью в соответствии с требованиями 9.1.4. Это соединение должно выполняться как вариант питания цепей управления.
Необходимо обратить внимание, что отсутствие соединения сторонних электропроводящих частей оборудования с цепью защиты, как указано в 6.3.2.2 и 6.3.2.3, отрицательно сказывается на эффективности изложенных в этом пункте мер безопасности.
8.3.3 Соединение с общим опорным потенциалом
Влияние
электрических помех может быть снижено в результате использования провода с
низким удельным сопротивлением в сети с низким полным сопротивлением, которую
используют в качестве опорного уровня для высокочастотных сигналов внутри
электрооборудования (например, общая шина печатной платы или внешние
электропроводящие части оборудования). Конструкция соединения должна иметь как
можно меньшее сопротивление относительно земли. Эти точки подключения должны обозначаться символом
60417-2-МЭК-5020 (рисунок 3) ![]()
Соединение с общим опорным потенциалом, отличным от обеспечиваемого цепью защиты или соединительным зажимом внешнего заземляющего провода (с пониженным уровнем шума), должно допускаться при условии, что будут соблюдены требования разделов 6 и 7.
Подключение
к одной точке, соединенной непосредственно с точкой по возможности близкой к
зажиму РЕ [рисунок 3 (поз. 1)] или с
собственным зажимом для обеспечения внешнего вывода на землю (бесшумного)
должно быть предусмотрено, если необходимо уменьшить общий уровень радиопомех
[рисунок 3 (поз. 2)]. Этот зажим
должен обозначаться символом 60417-2-МЭК-5018 
Обязательным является использование трансформаторов для питания цепей управления. Эти трансформаторы должны быть с раздельными обмотками. Если применяют несколько трансформаторов, рекомендуется их соединять таким образом, чтобы напряжения во вторичных обмотках совпадали по фазе.
Когда цепи управления постоянного тока соединены с цепью защиты (п. 8.2.1), они должны питаться через отдельную обмотку трансформатора цепи управления переменного тока или через другой трансформатор цепи управления.
В случае, когда машины оснащены только одним пусковым устройством двигателя и максимум двумя приборами управления (например, устройство блокировки, кнопка аварийной остановки), использование трансформаторов может быть необязательным.
9.1.2 Напряжения цепи
Необходимо, чтобы оперативные напряжения согласовывались с правильной работой цепи управления. Номинальное напряжение не должно превышать 277 В, когда цепь питается от трансформатора.
9.1.3 Защита
Цепи управления должны обеспечиваться защитой от сверхтоков в соответствии с 7.2.4 и 7.2.10.
9.1.4 Подключение приборов управления
В цепях управления, одна полярность которых соединена (или предназначена для соединения) с цепью защиты (п. 7.2.4), один зажим (имеющий предпочтительно всегда одну и ту же маркировку) катушки каждого электромагнитного прибора управления или зажим других электрических приборов должен быть соединен непосредственно с этой полярностью цепи управления. Все переключающие элементы (например, контакты) приборов управления, которые приводят в действие катушку или устройство, должны располагаться между другим зажимом катушки или устройства и другой полярностью цепи управления (то есть той, которая не соединена с цепью защиты).
Допускаются следующие исключения:
- контакты устройств защиты (например, перегрузочное реле) могут быть включены между полярностью, связанной с цепью защиты, и катушками при условии, что провода между такими контактами и катушками приборов управления, на которые действуют контакты реле, находятся в одном кожухе, а соединение будет достаточно коротким и такого типа, который исключит замыкание на землю, и
- соблюдены требования 9.4.3.1.
9.2.1 Функции пуска
Функции пуска должны действовать в результате возбуждения соответствующей цепи (п. 9.2.5.2).
Имеются три категории функций остановки:
0 - остановка немедленным отключением подвода питания от исполнительных механизмов (т.е. неконтролируемая остановка, п. 3.56);
1 - контролируемая остановка (п. 3.11) с сохранением подвода питания к исполнительным механизмам до самой остановки машины, с последующим отключением подвода питания после того, как остановка осуществлена;
2 - контролируемая остановка с сохранением подвода питания к исполнительным механизмам.
Примечание - При учете экстренности режимов управления (п. 9.2.5.4), возможного дополнительного риска отключение подвода питания может осуществляться при помощи либо электромеханических, либо электронных устройств.
Каждая машина может иметь один или несколько рабочих режимов, которые определяются типом машины или ее применением. Если выбор (переключение) режима работы может привести к возникновению опасных ситуаций, такой режим должен быть исключен соответствующим устройством (например, переключателем, запираемым на ключ, кодом доступа). Выбор рабочего режима не должен приводить к срабатыванию машины. Для этого должно потребоваться отдельное действие оператора.
Средства защиты должны быть эффективны во всех рабочих режимах (п. 9.2.4 для временного устранения защитных устройств при особых условиях).
9.2.4 Временное устранение защитных устройств
В случае, когда необходимо временно нейтрализовать одно или несколько средств защиты, следует предусмотреть устройство выбора режима или средство запирания (например, блокировку), чтобы воспрепятствовать автоматическому пуску в соответствующем режиме. Кроме того, следует предусмотреть одну или несколько указанных ниже мер:
- приведение в движение устройствами управления строго направленного или эквивалентного действия;
- переносной пульт управления (например, подвесной), включающий устройство аварийной остановки. Когда используют переносной пульт, управление движением может осуществляться только с этого пульта;
- ограничение скорости движения или мощности и
- ограничение диапазона движения.
9.2.5 Работа
Для безопасной работы машины должны быть предусмотрены все необходимые блокировки (п. 9.3). Должны быть приняты меры по ограничению движения машины в неуправляемом режиме после остановки любой категории (из-за нарушения в электропитании, при замене батарей, потере сигналов дистанционного управления).
Рабочий пуск должен быть возможен только при наличии и исправности защитных устройств, за исключением случаев, описанных в 9.2.4.
Для обеспечения безопасной и правильной последовательности запуска должны быть предусмотрены соответствующие блокировки.
Машина, требующая использования нескольких пультов управления для приведения в действие, должна удовлетворять следующим требованиям:
- каждый пульт должен быть оборудован отдельным пусковым устройством с ручным управлением;
- все условия, необходимые для управления машиной, должны быть соблюдены;
- все приборы управления пуском должны быть в положении «разъединение» (остановка) перед разрешающей командой управления и
- все приборы управления пуском должны приводится в движение похожим образом (управление должно совпадать) (п. 3.6).
Остановки категорий 0, 1 и/или 2 должны осуществляться в зависимости от оценки возможного риска и функциональных нарушений в машине (п. 4.1). Остановки категорий 0 и 1 должны действовать независимо от режима работы (п. 9.2.3), при этом остановка категории 0 должна обладать приоритетом. Функции остановки должны преобладать над функциями пуска (п. 9.2.5.2).
В случае необходимости может быть предусмотрено объединение устройств защиты и блокировки. При их применении может оказаться необходимым соответствующая сигнализация для системы управления. Повторное включение функции остановки не должно создавать опасных ситуаций.
9.2.5.4 Аварийное управление (аварийная остановка, аварийное отключение)
9.2.5.4.1 Общие положения
Настоящий стандарт определяет требования к аварийной остановке и аварийному отключению как к функциям аварийного управления, перечисленным в приложении D, в том числе к инициируемым однократным действиям человека. Применительно к прочим функциям остановки, обеспечивающим безопасность, см. 11.3.4.
В дополнение к требованиям 9.2.5.3, функции аварийной остановки должны удовлетворять следующим требованиям:
- должны отменяться все другие действия и функции во всех режимах;
- подвод питания к исполнительным механизмам, который может вызвать опасные(ую) ситуации(ю), должен быть отключен настолько быстро, насколько это возможно, чтобы не создавать других опасных ситуаций (например, при наличии механических средств остановки не требуется внешнего подвода питания, или при торможении обратным током в случае остановки категории 1);
- возврат в первоначальное (исходное) состояние не должен вызывать самозапуска.
Аварийная остановка должна реализовываться в категории или 0, или 1 (п. 9.2.2). Выбор вида категории аварийной остановки должен определяться суммарной оценкой рисков машины.
Для реализации категории 0 («стоп») для аварийной остановки должны применяться только электромеханические компоненты в цепях управления, выполненных проводами. Кроме того, управление не должно зависеть от логики передачи электронных сигналов (матобеспечения и т.п.) или передачи команд через коммутационные сети или линии.
Когда рекомендуется категория 1 («стоп») для аварийной остановки, окончательный останов движения с отключением энергии должен быть реализован с помощью электромеханических компонентов.
9.2.5.4.3 Аварийное отключение
Вопросы функционирования в режиме аварийного отключения изложены в ГОСТ 30331.7/ГОСТР 50571.7.
Аварийное отключение должно обеспечивать:
- защиту от прямого контакта (в кроссовых панелях, комплектных стойках, перемещаемых выдвижных блоках с электроаппаратурой в рабочих зонах), что может быть получено установкой в закрытую зону или за барьер (п. 6.2.6);
- защиту, где это возможно, от других рисков и нарушений, производимых электричеством.
Аварийное отключение является окончательным в реализации отключения машины от внешней питающей сети категории 0 («стоп»). Когда машина не может соответствовать категории 0, может быть необходимым установление другой защиты, например от прямого контакта, таким образом, чтобы в аварийном отключении не было необходимости.
9.2.5.5 Контроль действий управления
Любое движение или действие машины или ее детали, которое может явиться причиной возникновения опасной ситуации, должно быть произведено при контроле положения или результата этого движения или действия.
На управляемых вручную машинах операторы сами имеют возможность осуществлять такой контроль. В случаях, когда контроль неосуществим, требуется применение таких средств, которые исключат возможный «перебег», ограничат превышение частоты вращения и механические перегрузки.
9.2.5.6 Управление, требующее удерживающего действия
Для выполнения команд такого свойства необходимо оказывать постоянное воздействие на приборы управления.
9.2.5.7 Управление двумя руками
Имеется три типа управления двумя руками, в зависимости от оценки рисков машин. Они должны включать следующие характеристики. Управление типа 1 требует:
- наличия двух приборов управления исполнительными механизмами для согласованного воздействия двумя руками;
- удерживающего воздействия в присутствии опасных ситуаций;
- прерывание работы, если один из органов управления отпущен, в присутствии опасной ситуации.
Управление типа 2 - это управление типа 1, требующее освобождения обоих органов управления исполнительными механизмами перед повторным запуском.
Управление типа 3 - это управление типа 2, требующее согласованного действия приборов управления в следующих условиях:
- устройства управления исполнительными механизмами должны приводиться в действие в ограниченный промежуток времени, не превышающий 0,5 с (приложение В), и
- если это предельное время превышено, оба устройства управления должны быть отпущены перед тем, как появится возможность нового запуска.
9.2.5.8 Устройства разблокировки
Устройства разблокировки при ручном управлении исполняются в сочетании с управлением пуском, что при непрерывном их удержании позволяет выполнять машине ее функции.
Когда устройство разблокировки является частью системы управления, оно должно допускать движение, когда находится только в одном из положений. В ином положении оно должно останавливать движение.
Устройство должно:
- быть реализованным в управлении остановками категории 0 или 1 (п. 9.2.2);
- иметь конструкцию, отвечающую принципам эргономики;
- в двухпозиционном исполнении:
позиция 1 - реализовывать функцию разблокировки для выключения (исполнительный механизм в нерабочем состоянии);
позиция 2 - реализовывать функцию разблокировки (исполнительный механизм в рабочем состоянии);
- в трехпозиционном исполнении:
позиция 1 - реализовывать функцию выключения для выключателя (исполнительный механизм в нерабочем состоянии);
позиция 2 - реализовывать функцию разблокировки (исполнительный механизм в рабочем состоянии в среднем положении);
позиция 3 - реализовывать функцию выключения (исполнительный механизм в рабочем состоянии, пройдя среднее положение).
При возврате из позиции 3 в позицию 2 функция разблокировки не должна осуществляться.
9.2.6 Совмещенное управление пуском и остановкой
Кнопки и другие подобные устройства управления, которые в процессе своей работы поочередно включают движение или останавливают его, должны использоваться только для тех функций, которые не могут привести к опасным ситуациям.
9.2.7 Дистанционное управление
9.2.7.1 Основные положения
В этом подразделе рассматривают функциональные требования к системам, передающим команды управления между системой управления машиной и пультом оператора по радио или в инфракрасном диапазоне.
Примечание - Некоторые из таких систем имеют комплексное решение и могут применять цифровую технику связи, которая использует специальные кабели (коаксиальные, оптические, парной скрутки).
Должно быть обеспечено легкое подключение или отключение операторского пульта к (от) питающей сети.
Должны иметься (ключ оператора, код) средства, если необходимо, для ограничения доступа к пульту оператора (каждый пульт управления должен иметь четкую индикацию о том, какой машиной управляет данный пульт).
9.2.7.2 Ограничения в системе управления
Должны быть предприняты все меры, чтобы управление обеспечивало:
- воздействие только на определенную машину;
- выполнение только определенных функций.
Должны быть предприняты все меры, препятствующие обмену иными, чем установлено, сигналами между машиной и пультом управления.
Если это необходимо, конструкция машины должна позволять управлять с пульта только в одном или более ограниченных зонах или местах.
Пульты должны быть оснащены отдельными четко идентифицируемыми средствами реализации на машине функции «стоп» или функции отключения всех движений, ведущих к созданию опасной ситуации. Органы управления этими функциями не должны иметь обозначений функций систем аварийной остановки, однако через функцию «стоп» на машине может быть реализована функция «аварийный стоп».
Машина с переносным дистанционным пультом управления должна быть оборудована средствами автоматического торможения и ограничения возможных нарушений в управлении в следующих случаях:
- когда получен сигнал на остановку;
- когда обнаружено нарушение в системе;
- если команда не была принята в период предварительной задержки перед исполнением, когда машина решает задачи предпусковой подготовки, а опасные условия в зоне действия пульта уже могут наступить (приложение В).
Примечание - Сигнал команды включает в себя подтверждение, что коммуникации в порядке.
9.2.7.4 Последовательный цифровой порт
В машине, где управление безопасно взаимосвязанными функциями основано на последовательной передаче, точность передачи должна вытекать из использования метода определения ошибки при ее троекратном повторении в любой команде.
Примечание - Метод определения ошибки - в соответствии с рекомендациями МЭК 60870-5-1 [24].
9.2.7.5 Использование более чем одного дистанционного пульта управления
На машине, управляемой более чем с одного дистанционного пульта, должны быть предприняты меры для того, чтобы в данное время имелась возможность управлять только с одного из пультов. Индикация о том, что пульт управления задействован в управлении машиной, должна быть обеспечена в определенной локальной зоне как предопределяющая опасные состояния на машине.
Примечание - Команда «стоп» должна реализоваться с любого из установленных на машине пультов, когда это потребует возникшая опасность.
9.2.7.6 Дистанционные пульты управления с автономным питанием от батарей
Колебания напряжения питающих батарей не должны приводить к опасному состоянию. Если одно или более потенциально опасных движений управляются с пульта с автономным питанием, оператор должен иметь информацию об изменении напряжения сверхдопустимых ограничений.
В данных обстоятельствах дистанционный пульт управления должен функционировать дольше, чем установленный на машине в благоприятных рабочих условиях.
9.3.1 Реактивация взаимно блокированных защитных устройств
Повторная активация взаимно блокированных защитных устройств не должна быть причиной движения или работы машины, которые могли бы создать опасную ситуацию.
9.3.2 Ограничение хода
Когда избыточный ход (перебег) может создать опасную ситуацию, необходимо предусмотреть установку ограничивающих позиционных датчиков или концевых выключателей для реализации соответствующих функций управления.
9.3.3 Вспомогательные функции
Правильная работа вспомогательных функций должна контролироваться соответствующими устройствами (например, датчиками давления).
Если несрабатывание двигателя или устройства для вспомогательной функции (например, смазка, охлаждение или удаление стружки) может привести к возникновению опасных ситуаций, повреждению машины или ухудшению производственного процесса, в этом случае необходимо предусмотреть установку устройства взаимной блокировки, чтобы уменьшить такую опасность.
9.3.4 Взаимные блокировки между различными операциями и противоположными движениями
Все контакторы, реле и другие устройства, которые управляют элементами машины и могут создать опасные условия при их одновременном срабатывании (например, одновременное управление двумя противоположными движениями), должны взаимно блокироваться, чтобы исключить неправильные операции.
Реверсивные контакторы (контролирующие управление вращения двигателя) должны взаимно блокироваться таким образом, чтобы при нормальной эксплуатации в момент переключения не могло произойти короткого замыкания.
Если для безопасности или для обеспечения непрерывности операций некоторые функции машины должны быть взаимосвязаны, необходимо достичь надлежащей координации взаимной блокировкой. Для группы машин, работающих вместе в согласованном порядке и оборудованных более чем одним устройством управления, в случае необходимости, следует предусмотреть меры для координации работы аппаратуры управления. В случаях, когда при подключенном питании привода из-за неисправности механического тормоза возникает опасное состояние неуправляемого торможения, взаимная блокировка должна отключать питание привода.
9.3.5 Противотоковое торможение
При использовании на двигателе противотокового торможения необходимо принять действенные меры, чтобы исключить изменение направления вращения в конце торможения, когда это реверсирование может создать опасные условия, привести к повреждению машины или нарушению производственного процесса. Для этих целей не допускается применение устройства, действие которого основано только на временных уставках.
Цепи управления должны быть устроены таким образом, чтобы вращение вала вручную или другим способом не создавало опасных ситуаций.
Если отказы или нарушения в работе электрооборудования могут создать опасную ситуацию, нанести ущерб машине или повлиять на производственный процесс, необходимо принять соответствующие меры, чтобы свести к минимуму возможность возникновения таких отказов и нарушений. Требуемые меры и их объем, как по отдельности, так и в сочетании, зависят от уровня опасности, связанного с их применением (п. 4.1).
Средства снижения опасности включают, но не ограничиваются нижеследующими:
- устройства защиты на машине (например, защитное устройство с взаимной блокировкой, чувствительные приборы);
- защитная взаимная блокировка электрической цепи;
- использование испытанных схем и компонентов (п. 9.4.2.1);
- частичное или полное резервирование (п. 9.4.2.2) или разнесение (п. 9.4.2.3);
- проведение функциональных испытаний (п. 9.4.2.4) и,
как правило, учитываются только единичные отказы. Если степени опасности более высокие, следует убедиться, что никакой единичный отказ не может создать опасной ситуации.
9.4.2 Меры для снижения опасности в случае отказа
9.4.2.1 Использование испытанных схем и компонентов
Среди прочих, эти меры включают:
- достижение эквипотенциальности (равность потенциалов) цепей управления в рабочих целях (п. 9.4.3.1);
- подключение приборов управления (втягивающие катушки) в цепях управления в соответствии с 9.1.4;
- остановка отключением энергии в соответствующей цепи (п. 9.2.2);
- отключение всех токоведущих проводников (п. 9.4.3.1);
- использование устройств с плюсовой функцией отключения (ГОСТ 30011.5);
- принятие конструктивных решений для уменьшения возможности отказа, вызывающего нежелательные действия.
Путем частичного или полного резервирования возможно свести к минимуму вероятность того, что единичный отказ электрической цепи приведет к опасной ситуации. Резервирование может быть эффективным при нормальной работе (линейное резервирование) или выполняться специальными цепями, которые берут на себя функцию защиты только при нарушении нормальной работы (внелинейное резервирование).
Когда используется внелинейное резервирование, которое не проводит ток при нормальной работе, для обеспечения того, чтобы эти цепи управления были в эксплуатационной готовности, в случае необходимости, следует принять соответствующие меры.
Применение цепей управления с различными принципами работы или с устройствами различных типов может уменьшить вероятность отказов, ведущих к увеличению опасности.
Например:
- сочетая замыкающие и размыкающие контакты взаимной блокировкой;
- используя в цепях управления компоненты различных типов;
- сочетая в конфигурациях резервирования электронные и электромеханические цепи;
- комбинируя электрические и неэлектрические системы (например, гидравлические, механические, пневматические), можно улучшить функции резервирования и обеспечить разнесение.
9.4.2.4 Функциональные испытания
Эти испытания могут быть проведены автоматически системой управления или вручную в ходе осмотра, а также в процессе пусковых испытаний или определенного периода работы, или же комбинируя вышеуказанные способы в зависимости от случая (п. 18.2 и 19.6).
9.4.3 Защита от ошибочных коммутационных операций из-за нарушений цепей заземления и прерываний напряжения
9.4.3.1 Нарушения в заземлении
Неправильности в заземлении любой цепи управления не должны вызывать никаких непреднамеренных пусков, не создавать потенциально опасных движений или создавать препятствия остановке машины.
Чтобы удовлетворить этому требованию, подключение к цепи защиты должно соответствовать 8.2, а соединение приборов должно соответствовать 9.1.4. Питающиеся от трансформатора цепи управления, которые не соединены с цепью защиты, должны оснащаться устройством контроля изоляции, который должен либо сигнализировать о неисправности заземления, либо размыкать и автоматически отключать эту цепь управления при наличии неисправности заземления.
Когда цепь управления включена непосредственно между фазными проводами сети питания и нейтральным проводом, который не заземлен, либо заземлен через высокий импеданс (резистор, разрядник), для функций «ПУСК» или «СТОП» такого станка, которые могут вызвать аварийные ситуации или повреждение станка в случае непреднамеренного пуска или отказа при остановке, должны применяться многополюсные управляющие выключатели, которые прерывают все токопроводящие проводники.
Необходимо применять требования 7.5.
При использовании запоминающего устройства должна быть обеспечена нормальная работа в случае нарушения питания (например, при использовании запоминающего устройства с сохранением информации при отключении питания), если стирание информации в памяти устройства может повлечь за собой создание опасной ситуации.
9.4.3.3 Нарушение непрерывности цепей
Если непрерывность цепи зависит от состояния скользящего контакта, то следует применять дуплексирование.
10.1.1 Общие требования к приборам
Настоящий раздел содержит требования к приборам, расположенным с внешней стороны или же частично выступающим наружу из оболочек, защищающих их от внешних воздействий.
По мере возможности эти приборы должны выбираться, монтироваться, обозначаться и маркироваться в соответствии с ГОСТ 29149 и ГОСТ 21991.
По мере возможности приборы управления должны быть (если они установлены на машине):
- легкодоступны в процессе работы и при обслуживании, и
- смонтированы так, чтобы свести к минимуму возможность их повреждения при обслуживании или перемещении любого другого передвижного оборудования.
Органы управления приводимых в действие вручную приборов должны выбираться и устанавливаться таким образом, чтобы:
- находиться на высоте над уровнем рабочей площадки не менее 0,6 м и быть легкодоступным для оператора в его обычном положении;
- не создавать опасных ситуаций для оператора во время передвижения и свести к минимуму возможность непредусмотренного движения.
10.1.3 Защита от внешних воздействий
При правильно выполненном монтаже интерфейс (цепи управления и контроля) и встроенные приборы управления должны выдерживать ожидаемые в процессе эксплуатации воздействия. Степень защиты (ГОСТ 14254) вместе с другими соответствующими мерами должны обеспечивать защиту против:
- воздействия агрессивных жидкостей, паров или газов, образующихся в физической среде, окружающей машину или используемых в ней;
- проникновения посторонних загрязнений (например, стружек, пыли, частиц вещества).
Дополнительно к этому интерфейс в устройствах управления должен обладать минимальной защитой против прямого контакта степени IPXXD (ГОСТ 14254).
Датчики положения (например, конечные выключатели, контактные выключатели) не должны повреждаться при надлежащей установке в случае перебега.
Когда в цепях, предусмотренных для защиты, используются датчики положения с механическим приводом, необходимо предусмотреть их плюсовое управление выключением (ГОСТ 30011.5), либо должна достигаться достаточная надежность (п. 9.4.2).
10.1.5 Переносные и подвесные пульты управления
Такие станции должны быть так подобраны и расположены, чтобы уменьшить возможность непредумышленного управления машиной в случае удара или вибрации (если пульт управления подвержен воздействию воды и механической тряски).
Цвета органов управления с кнопочными выключателями должны соответствовать коду, приведенному в таблице 2.
Предпочтительными цветами для органов управления ПУСК/ВКЛЮЧЕНИЕ ПОД НАПРЯЖЕНИЕ являются белый, серый или черный, в большей степени белый. Также допускается зеленый цвет. Не должен использоваться красный цвет.
Красный цвет должен использоваться для органов управления аварийной остановки.
Цвета черный, серый или белый, чаще черный предназначены предпочтительно для органов управления ОСТАНОВКА/ОТКЛЮЧЕНИЕ НАПРЯЖЕНИЯ. Допускается также красный цвет. Зеленый цвет не должен использоваться.
Белый, серый и черный являются предпочтительными цветами для органов управления с кнопочными выключателями, которые после приведения в действие работают последовательно как ПУСК/ВКЛЮЧЕНИЕ ПОД НАПРЯЖЕНИЕ и ОСТАНОВКА/ОТКЛЮЧЕНИЕ НАПРЯЖЕНИЯ. Не должны использоваться цвета красный, желтый или зеленый (п. 9.2.6).
Таблица 2 - Код цветов для кнопочных органов управления и их значение
|
Значение |
Пояснение |
Примеры применения |
|
|
Красный |
Срочный |
Действие в случае опасности или срочности |
Срочная остановка. Введение функции срочности. п. 10.2.1 |
|
Желтый |
Ненормальный |
Действие в случае ненормальной ситуации |
Устранение ненормальной ситуации. Восстановление прерванного автоматического цикла |
|
Зеленый |
Безопасный |
Действие в случае безопасности или для подготовки нормального условия работы |
п. 10.2.1 |
|
Голубой |
Обязательный |
Действие в случае ситуаций, требующих обязательного вмешательства |
Функция повторного включения |
|
Белый |
Характерных предписаний значений нет |
Для ведения функций, за исключением срочной остановки |
ПУСК/ВКЛЮЧЕНИЕ ПОД НАПРЯЖЕНИЕ (предпочтительно), ОСТАНОВКА/ОТКЛЮЧЕНИЕ НАПРЯЖЕНИЯ |
|
Серый |
- |
См. примечание |
ПУСК/ВКЛЮЧЕНИЕ ПОД НАПРЯЖЕНИЕ ОСТАНОВКА/ОТКЛЮЧЕНИЕ НАПРЯЖЕНИЯ |
|
Черный |
- |
- |
ПУСК/ВКЛЮЧЕНИЕ ПОД НАПРЯЖЕНИЕ ОСТАНОВКА/ОТКЛЮЧЕНИЕ НАПРЯЖЕНИЯ (предпочтительно) |
|
Примечание - Когда для обозначения органов управления применяют дополнительное средство кодирования (например, текстура, форма, положение), один и тот же цвет белый, серый или черный может использоваться для различных функций (например, белый для органов управления ПУСК/ВКЛЮЧЕНИЕ ПОД НАПРЯЖЕНИЕ, а также для органов управления ОСТАНОВКА/ОТКЛЮЧЕНИЕ НАПРЯЖЕНИЯ). |
|||
Белый, серый и черный являются предпочтительными цветами для органов управления с кнопочными выключателями, которые вызывают работу только при их нажатии и прекращают ее при их отпускании (например, удерживающее воздействие), красный, желтый и зеленый цвета не должны использоваться.
Зеленый цвет предназначен для функций, указывающих на безопасный или нормальный режим.
Желтый цвет предназначен для функций, указывающих на предупреждение или ненормальное условие.
Голубой цвет предназначен для функций обязательного значения.
Органы управления с кнопочными выключателями для повторного включения возврата должны быть голубого, белого, серого или черного цветов. Когда они действуют также, как кнопка ОСТАНОВКА/ОТКЛЮЧЕНИЕ НАПРЯЖЕНИЯ, предпочтительными цветами являются белый, серый и черный, в большей степени, черный. Зеленый цвет не должен использоваться.
В дополнение к описанному в 17.3 функциональному обозначению, кнопочные выключатели рекомендуется маркировать символами либо рядом, либо, что предпочтительнее, непосредственно на органах управления, например:
|
ПУСК/ВКЛЮЧЕНИЕ ПОД НАПРЯЖЕНИЕ |
ОСТАНОВКА/ОТКЛЮЧЕНИЕ НАПРЯЖЕНИЯ |
Кнопка, вызывающая поочередно: ПУСК и ОСТАНОВКУ или ВКЛЮЧЕНИЕ ПОД НАПРЯЖЕНИЕ и ОТКЛЮЧЕНИЕ НАПРЯЖЕНИЯ |
Кнопка, вызывающая движение при нажатии и останов при отпускании (т.е. удерживающее воздействие) |
|
417-МЭК-5007 |
417-МЭК-5008 |
417-МЭК-5010 |
417-МЭК-5011 |
|
|
|
|
|
10.3.1 Способы использования
Световые индикаторы и сигнальные экраны служат для предоставления следующих видов информации:
- индикация - для привлечения внимания оператора или передачи ему сигнала о выполнении определенного действия. Для этого обычно используют красный, желтый, зеленый и голубой цвета;
- подтверждение - для подтверждения команды, состояния или режима, окончания изменения или переходного периода. Для этого обычно используют белый и голубой цвета. В некоторых случаях может применяться зеленый цвет.
Если между изготовителем и пользователем нет особых соглашений, прозрачные колпачки световых сигнальных индикаторов и ламп должны соответствовать цветовому коду, приведенному в таблице 3, с учетом режима работы (состояния) машины. В соответствии с ГОСТ 29149 цветам могут быть присвоены другие значения согласно одному из следующих критериев:
- безопасность персонала и окружающей среды, или
- состояние электрического оборудования.
10.3.3 Мигающие огни
Для различения или дополнительной информации и, в частности, для привлечения большего внимания используют мигающие огни, применяемые в следующих целях:
- привлечение внимания;
- требование немедленного действия;
- указание на рассогласование между командой и действительным состоянием, и
- указание происходящего изменения (мигание во время переходного режима).
Для приоритетной информации рекомендуется использовать наивысшую частоту мигающих огней (ГОСТ 29149 содержит сведения о частоте мигания и отношении импульс/пауза).
Органы управления с кнопочными выключателями с подсветом должны быть окрашены в соответствии с таблицами 2 и 3. Если имеются трудности с приданием надлежащего цвета, следует использовать белый цвет.
Красный цвет органа управления срочной остановкой не должен зависеть от освещения его лампы.
Таблица 3 - Цвета сигнальных световых индикаторов (ламп) и их значение в зависимости от режима работы (состояния) машины
|
Значение |
Пояснение |
Действие оператора |
Примеры применения |
|
|
Красный |
Срочный |
Опасные условия |
Немедленное действие для разбора опасной ситуации (например, срочная остановка) |
Давление (температура) вне пределов безопасности. Падение напряжения. Отключение. Перерегулирование срочной остановки |
|
Желтый |
Ненормальный |
Ненормальный режим. Неминуемая критическая ситуация |
Наблюдение и/или вмешательство (например, восстановление желаемой функции) |
Давление (температура) сверх нормального предела. Срабатывание защитного устройства |
|
Зеленый |
Нормальный |
Нормальный режим |
По усмотрению |
Давление (температура) в пределах нормы |
|
Голубой |
Обязательный |
Сигнал о ситуации, которая требует действий оператора |
Обязательное действие |
Запрос о вводе предварительно выбранных значений |
|
Белый |
Нейтральный |
Другие ситуации могут использоваться, если есть сомнение в применении цветов красного, желтого, зеленого, голубого |
Наблюдение |
Общая информация |
Устройства с поворотным управлением (такие как потенциометры и переключатели) должны устанавливаться таким образом, чтобы воспрепятствовать вращению фиксированной части. Одного трения не должно быть достаточно.
Используемые для выполнения функции пуска или приведения в движение элементов машины устройства (например, контактные штыри, каретки, направляющие) должны изготавливаться и устанавливаться таким образом, чтобы уменьшить опасность несвоевременного срабатывания. Органы управления с грибовидными толкателями могут быть использованы для управления двумя руками.
10.7.1 Применение
Устройства аварийной остановки должны быть легкодоступны и устанавливаться на каждом пульте управления и в других местах управления, откуда может инициироваться аварийная остановка (исключение - п. 9.2.7.3).
10.7.2 Типы
Устройствами аварийной остановки могут быть:
- кнопочный выключатель;
- выключатель, управление которым осуществляется при натяжении троса;
- выключатель, управляемый педалью без механической блокировки.
Эти устройства должны быть снабжены автоматической блокировкой, и обладать плюсовым (положительным), при непосредственном воздействии, размыканием (ГОСТ 30011.5).
10.7.3 Восстановление нормального функционирования после аварийной остановки
Не должно существовать возможности восстановления цепи аварийной остановки, пока орган управления устройства аварийной остановки не будет приведен в исходное положение вручную. Когда в цепи управления предусмотрено несколько устройств аварийной остановки, цепь не должна иметь возможности восстановления, пока все ранее сработавшие устройства аварийной остановки не будут возвращены в исходное положение.
Органы управления устройств аварийной остановки должны быть красного цвета. Фон, расположенный непосредственно вокруг органов управления, должен быть желтого цвета. Органы управления (толкатель) кнопочного выключателя должны быть выступающего типа или с грибовидной головкой.
10.7.5 Действия устройства отключения питания для осуществления аварийной остановки
Устройство отключения питания может быть локально задействовано для выполнения функций аварийной остановки в случаях, когда:
- легкодоступно для пользования оператору;
- относится к типу, описанному в 5.3.2, перечисления a, b или с.
Если имеется в виду его такое использование, устройство отключения подвода питания должно удовлетворять требованиям по окраске, изложенным в 10.7.4.
Устройства аварийного отключения должны быть размещены так, как удобно для каждого конкретного случая. Обычно такие устройства размещают отдельно от пультов управления оператора. Однако когда оказывается необходимым инициировать функцию аварийного отключения с пульта управления оператора, такой пульт управления необязательно должен быть снабжен отдельным устройством аварийной остановки, поскольку функции аварийного отключения осуществляются в соответствии с категорией 0 аварийной остановки.
Устройства аварийного отключения включают в себя:
- кнопочный выключатель;
- выключатель, управляемый при натяжении троса.
Устройства должны быть с принудительным возвратом (с защелкой) и иметь контакты с плюсовым (положительным) размыканием (ГОСТ 30011.5).
Кнопочные выключатели могут размещаться в разрушаемой стеклянной оболочке.
10.8.3 Возобновление нормальной работы после аварийного отключения
Должно быть невозможным восстановление разомкнутых цепей до тех пор, пока устройство аварийного отключения не будет возвращено вручную (принудительно) в исходное состояние.
При наличии нескольких таких устройств на машине, восстановление всех разомкнутых цепей должно быть невозможным, пока все устройства не будут принудительно возвращены в исходное состояние.
Органы управления устройств аварийного отключения должны быть окрашены в красный цвет. Поверхность непосредственно вокруг органа управления должна быть желтого цвета. Орган управления кнопочного типа, воздействующий на устройства аварийного отключения, должен быть выступающего типа или с грибовидной головкой.
10.8.5 Локальное действие отключения питания, вызывающее аварийное отключение
Если устройство отключения питания при аварийном отключении должно действовать локально, оно должно быть легкодоступным и удовлетворять требованиям по окраске 10.8.4.
Дисплеи (например, устройства визуализации, аварийные индикаторы) должны быть подобраны и установлены таким образом, чтобы быть хорошо видимыми с обычного рабочего места оператора. Там, где дисплеи используют в качестве аварийных, рекомендуется, чтобы они были мерцающего или вращающегося типа и сопрягались со звуковыми аварийными предупреждающими сигнализаторами.
Настоящий раздел распространяется на электронное оборудование всех видов, включая программируемые электронные системы, подсистемы, печатные платы, устройства и составные элементы.
Рекомендуется предусмотреть устройства, сигнализирующие о состоянии входов и выходов.
11.2.2 Уравнительное (эквипотенциальное) соединение
Все стойки входов/выходов, кроссовые панели, блоки с процессорами и подводами питания должны быть электрически соединены вместе в соответствии со спецификациями поставщика и подключены к защитной цепи (п. 8.2.3). Если потребуется, то оборудование может быть изолировано от защитной цепи в соответствии с разделом 8.
11.3.1 Программируемые устройства управления
Программируемые контроллеры должны соответствовать МЭК 61131-1 [28] и МЭК 61131-2 [29].
11.3.2 Защита и сохранение памяти
Чтобы избежать любого изменения памяти со стороны лиц, не имеющих права доступа к машине, необходимо предусмотреть средства и соблюдать описанные в 9.4.3.2 требования.
11.3.3 Проверка программного обеспечения
Оборудование, которое использует повторно программируемые логические схемы, должно располагать средствами для проверки того, что программное обеспечение соответствует документации программы.
11.3.4 Использование для функций безопасности
Электронное программируемое оборудование не должно использоваться для аварийной остановки категории 0 (п. 9.2.5.4).
Если речь идет о всех других функциях остановки, относящихся к безопасности, необходимо отдавать предпочтение электромеханическим компонентам в цепях управления, выполненных проводами (т.е. эти функции не должны зависеть от работы электронного программируемого оборудования). Если для обеспечения таких функций используется электронное программируемое оборудование, необходимо принять меры, соответствующие 9.4.
Эти требования не должны исключать использование электронного программируемого оборудования для контроля, испытания или усиления таких функций. Однако это оборудование не должно влиять на правильное исполнение этих функций.
Примечание - Следует иметь в виду, что неразумно полагаться на правильную работу электронного программируемого оборудования, единственный канал управления которого не подлежит строгому контролю.
Все аппараты управления должны быть размещены и установлены таким образом, чтоб облегчить:
- доступ и обслуживание;
- защиту от внешних воздействий или воздействий тех условий, для работы в которых они предназначаются;
- работу и обслуживание машины и связанного с ним оборудования.
Все элементы аппаратуры управления должны быть установлены и направлены таким образом, чтобы они могли идентифицироваться без их перемещения или снятия проводки. Расположение элементов, которые требуют контроля для правильной работы или которые могут быть заменены, должно позволять проведение необходимых операций без демонтажа другого оборудования или деталей машины (за исключением открытия дверей или снятия крышки). Зажимы, не соединенные с аппаратурой управления, должны отвечать этим требованиям.
Любая аппаратура управления должна устанавливаться таким образом, чтобы облегчить работу и обслуживание. Если для снятия устройства необходим специальный ключ, он должен быть предоставлен. Когда для обслуживания или регулировки необходим доступ, соответствующие устройства должны располагаться на высоте от 0,4 до 2,0 м от площадки обслуживания.
Зажимы рекомендуется располагать на высоте 2,0 м от площадки обслуживания, так чтобы провода и кабели могли быть к ним легко подсоединены.
На съемных дверцах и крышках, обычно расположенных на оболочках, не должно монтироваться никакого оборудования, за исключением устройств управления, индикации измерений и охлаждения.
Когда устройства управления соединяются разъемами с контактными штырями, такое соединение должно легко распознаваться с помощью типа (формы), маркировки или обозначения (или сочетания этих средств) (п. 14.4.5).
Перекоммутируемые в ходе нормальной работы разъемы с контактными штырями (съемные) должны быть оснащены устройствами, предотвращающими неверное подсоединение, если отсутствие последних может привести к отключению.
Элементы соединителей, которые перекоммутируются в ходе нормальной работы, должны располагаться и устанавливаться таким образом, чтобы доступ к ним оставался свободным.
Контрольные точки, если они имеются, должны быть:
- легкодоступны;
- четко обозначены в соответствии с технической документацией (п. 18.3);
- соответствующим образом изолированы и
- соответственно расположены, чтобы обеспечить подключение испытательного оборудования.
12.2.2 Разделение или группирование
Неэлектрические детали и устройства, непосредственно не относящиеся к электрическому оборудованию, не должны быть размещены внутри оболочек, содержащих аппаратуру управления. Устройства, подобные электромагнитным золотникам, должны быть отделены от остального электрического оборудования (например, размещаться в отдельном объеме).
Устройства управления, установленные в том же месте и связанные с напряжением питания или как с напряжением питания, так и с напряжением управления, должны группироваться отдельно от тех, которые связаны только с напряжением управления.
Зажимы должны разделяться по группам для:
- цепей питания;
- подключенных цепей управления;
- прочих цепей управления, питаемых от внешних источников (например, для подключения).
Группы зажимов должны монтироваться компактным образом так, чтобы каждая группа могла быть легко идентифицирована (например, с помощью маркировки, различия в габаритах, перегородок или различных цветов).
При компоновке групп устройств (включая соединительные устройства) должны выдерживаться предусмотренные для них зазоры и изоляционные расстояния при учете внешних влияний или условий окружающей среды (МЭК 60664-1 [21]).
Вырабатывающие тепло составные элементы (например, тепловые камеры, силовые сопротивления) должны быть установлены таким образом, чтобы температура каждого соседнего элемента не превышала допустимые пределы.
Защита аппаратуры управления от проникновения внешних частиц или жидкостей должна учитывать внешние влияния, при которых машина предназначена работать (т.е. условия размещения и физические условия окружающей среды), и быть достаточной, чтобы предохранять от попадания пыли, охлаждающих жидкостей, стружек и механических повреждений.
Примечания
1 Степень защиты от проникновения воды определяется ГОСТ 14254. Для других жидкостей может оказаться необходимо применение дополнительных защитных мер.
Защитные оболочки (кожуха) аппаратуры управления должны обеспечивать степень защиты не менее чем IP22 (ГОСТ 14254).
Исключения
a) Когда рабочая зона электрического оборудования использует защитную оболочку с определенной степенью защиты против воздействия твердых частиц и жидкостей.
b) Когда используются подвижные коллекторы проволочного типа или щеточные коллекторные системы и условия согласно IP22 не обеспечиваются, то применимы меры, предусмотренные 6.2.5.
2 Некоторые примеры применений необходимой степени защиты, обычно обеспечиваемой следующими оболочками:
- IP10 - вентилируемые, содержащие только пусковые реостаты и другое крупногабаритное оборудование;
- IP32 - вентилируемые содержащие прочее оборудование;
- IP32, IP43 и IP54 - общепромышленного применения;
- IP55 - используемые в помещениях, которые очищаются струями воды низкого давления (шланги);
- IP65 - обеспечивающие защиту против мелкой пыли;
- IP2X - содержащие открытые скользящие контакты.
В зависимости от условий эксплуатации могут оказаться подходящими другие степени защиты.
Оболочки должны быть сконструированы с использованием материалов, способных противостоять механическим, электрическим и термическим напряжениям, как и воздействию влажности, которые желательно учитывать при нормальной эксплуатации. Рекомендуется, чтобы запоры предохранительных дверей и крышек были встроенного типа.
Смотровые окна, предусмотренные для считывания показаний со шкал измерительных и индикаторных приборов, расположенных внутри оболочек, должны быть выполнены из материалов, которые способны выдерживать воздействие механических нагрузок и химических веществ, например из закаленного стекла или листа поликарбоната (толщиной 3 мм).
Оболочки рекомендуется оснащать дверцами с вертикальными шарнирами, преимущественно беспетельного типа, с углом открытия не менее 95° и шириной не более 0,9 м.
Шарнирные соединения дверей, крышки и оболочки должны выдерживать химическое воздействие жидкостей, паров или агрессивных газов, которые используются на машине. Средства, используемые для сохранения степени защиты оболочки, которая должна иметь открытые или снятые дверцы или крышки для работы или обслуживания, должны:
- обеспечивать надежное соединение дверец / крышек и оболочек;
- не повреждать оболочки при снятии и замене дверцы или крышки и тем самым ухудшать степень защиты.
Все устроенные в оболочках отверстия, включая направленные к полу и основанию или другим частям машины, должны быть закрыты конструктивно так, чтобы обеспечивалась предписанная для оборудования степень защиты. Отверстия, предназначенные для ввода кабелей, должны легко открываться на месте. В основании расположенных в машине кожухов может быть предусмотрено соответствующее отверстие для удаления влаги, вызванной конденсацией.
Не должно быть никаких отверстий между оболочками, содержащими электрооборудование, и полостями, содержащими охлаждающие, смазывающие или гидравлические жидкости, или такими полостями, в которые могут проникать масла, другие жидкости или пыль. Это требование не распространяется на электрические устройства, сконструированные специально для работы в масле (например, электромагнитные муфты) и на электрооборудование, в котором используются охлаждающие жидкости.
Если в оболочке предусмотрены отверстия для монтажа, нужно следить за тем, чтобы после монтажа они не стали причиной ухудшения требуемой степени защиты.
Оборудование, которое при нормальной или ненормальной работе может достичь температуры на поверхности достаточной, чтобы вызвать риск возгорания или вредного влияния на материал оболочки:
- должно быть помещено в кожух, который будет противостоять без риска возгорания или вредного влияния таким температурам, которые могут возникать, и
- должно быть смонтировано и размещено на достаточном расстоянии от прилегающего оборудования с тем, чтобы обеспечивать безопасное рассеивание теплоты (п. 12.2.3), или
- должно быть тем или иным способом заэкранировано материалом, который может противостоять без риска возгорания или вредного влияния теплоте, выделяемой оборудованием.
Минимальные размеры проходов по фронту и между оборудованием должны соответствовать МЭК 60364-4-481 [17], 481.2.4.
Примечание - Размеры, приведенные в МЭК 60364-4-481 [17], 481.2.4, являются абсолютным минимумом. Может оказаться необходимым выбрать большие значения из других соображений, таких как удобство рабочей зоны, возможности эвакуации, подвижность оборудования и т.д.
Дверцы в проходах для доступа в рабочие зоны должны быть:
- шириной 0,7 м и высотой 2 м;
- открываться наружу;
- иметь средство для экстренного открытия изнутри без ключа и инструмента.
Кабели и провода должны выбираться таким образом, чтобы они соответствовали условиям использования (например, напряжение, ток, защита от ударов электрическим током, соединение кабелей) и выдерживали внешние воздействия (например, температуру окружающей среды, наличие воды или коррозионных веществ, механические нагрузки), которые могут иметь место.
Эти требования не распространяются на встроенную электропроводку узлов, подсистем и устройств, которые изготавливаются и испытываются согласно соответствующим стандартам, например МЭК 60439-1 [18].
Как правило, жила проводов должна быть медной. Провода, жилы которых изготавливают из другого материала, должны иметь такое номинальное поперечное сечение, чтобы при прохождении одинакового тока максимальная температура не превышала указанных в таблице 4 значений. Если применяют алюминиевые жилы, поперечное сечение их не должно быть менее 16 мм2.
Хотя провода класса 1 обычно предусматриваются для соединения жестких неподвижных частей, они могут использоваться, если нет большого изгиба, при условии, что их поперечное сечение будет менее 0,5 мм2. Все подверженные частым перемещениям провода (т.е. совершающее одно движение в час работы машины) должны быть гибкого типа - или класса 6 (таблица С.4).
Существующие изоляционные материалы включают (но не ограничиваются перечисленными):
- поливинилхлорид (ПВХ);
- натуральную или синтетическую резину;
- кремнийорганическую резину (каучук);
- минералы (слюда, стекло);
- полиэтилен (ПЭ) и
- этиленпропиленовая смесь (ЭПС).
Таблица 4 - Максимально допустимые значения температур проводов в нормальных условиях и при коротком замыкании
В градусах Цельсия
|
Максимальная температура провода в нормальных условиях |
Предельная кратковременная температура провода при коротком замыкании* |
|
|
Поливинилхлорид (ПВХ) |
70 |
160 |
|
Каучук |
60 |
200 |
|
Этиленпропиленовая смесь (ЭПС) |
90 |
250 |
|
Кремнийорганический каучук (КОК) |
180 |
350 |
|
Примечание - Для предельных кратковременных температур провода, превышающих 200 ºС, медные проводники должны быть покрыты либо серебром, либо никелем, потому что ни покрытые оловом, ни «голые» проводники не годятся для температур, превышающих 200 °С. |
||
|
* Эти значения базируются на том предположении, что процесс является адиабатическим в течение не более 5 с. |
||
В случаях, когда применение изолированных проводов и кабелей может представлять опасность распространения огня или образования токсичного или коррозийного дыма (например, ПВХ), рекомендуется обратиться за консультацией к изготовителю кабеля или провода. В частности, очень важно сохранить целостность цепей, несущих функцию безопасности (например, срочная остановка), насколько возможно дольше в этих условиях.
Электрическая прочность изоляции должна быть достаточной, чтобы выдерживать требуемое испытательное напряжение 2000 В при постоянном токе в течение 5 мин, для кабелей, эксплуатируемых при величинах напряжения выше 50 В и переменном токе или 120 В при постоянном токе. Электрическая прочность независимых цепей БСНН должна быть достаточной, чтобы выдержать испытательное напряжение 500 В при переменном токе в течение 5 мин (ГОСТ 30331.3/ГОСТ Р 50571.3, раздел 3).
Механическая прочность и толщина изоляционного материала должны быть такими, чтобы изоляция не могла быть повреждена во время работы или в ходе монтажа проводки, в частности, при протягивании кабелей через каналы.
Максимально допустимый ток для проводов и кабелей определяется одновременно:
- максимально допустимой температурой провода при максимальном установившемся токе или при термически эквивалентном токе для прерывистой нагрузки (п. С.2);
- максимально допустимой температурой, никогда не превышаемой в течение короткого промежутка времени в условиях короткого замыкания.
Поперечное сечение провода должно быть таким, чтобы при наивысшем значении постоянного тока или его эквивалента не превышались указанные в таблице 4 значения температуры.
Максимально допустимые токи для проводов с ПВХ изоляцией, прокладываемых между оболочкой и отдельными частями оборудования при установившемся токе, приведены в таблице 5. Для выбора проводов и кабелей, работающих под прерывистым током нагрузки, приложение С, пункт С.2 - для расчета термического эквивалента тока.
В нормальных рабочих условиях падение напряжения на участке от источника питания до места приложения нагрузки не должно превышать 5 % от номинального. Для выполнения этого требования может оказаться необходимым использовать проводники большего сечения, чем приведенные в таблице 5.
Таблица 5 - Максимально допустимый ток медных проводов и кабелей с ПВХ изоляцией в установившемся режиме, при температуре окружающего воздуха 40 °С для различных способов прокладки
|
Способ прокладки (С.1.2) |
||||
|
В1 |
В2 |
С |
Е |
|
|
Максимально допустимый ток Iz, A |
||||
|
0,75 |
7,6 |
- |
- |
- |
|
1,00 |
10,4 |
9,6 |
11,7 |
11,5 |
|
1,50 |
13,5 |
12,2 |
15,2 |
16,1 |
|
2,50 |
18,3 |
16,5 |
21,0 |
22,0 |
|
4,00 |
25,0 |
23,0 |
28,0 |
30,0 |
|
6,00 |
32,0 |
29,0 |
36,0 |
37,0 |
|
10,00 |
44,0 |
40,0 |
50,0 |
52,0 |
|
16,00 |
60,0 |
53,0 |
66,0 |
70,0 |
|
25,00 |
77,0 |
67,0 |
84,0 |
88,0 |
|
35,00 |
97,0 |
83,0 |
104,0 |
114,0 |
|
50,00 |
- |
- |
123,0 |
123,0 |
|
70,00 |
- |
- |
155,0 |
155,0 |
|
95,00 |
- |
- |
192,0 |
192,0 |
|
120,00 |
- |
- |
221,0 |
221,0 |
|
Соединения в электронных схемах (пары) |
- |
- |
4,0 |
4,0 |
|
0,20 |
||||
|
0,30 |
- |
- |
5,0 |
5,0 |
|
0,50 |
- |
- |
7,1 |
7,1 |
|
0,75 |
- |
- |
9,1 |
9,1 |
|
Примечания 1 Для температур окружающей среды, отличных от 40 °С, следует скорректировать максимально допустимый ток с использованием данных таблицы С.1. 2 Для кабелей/проводов, объединенных в группу, поправочные коэффициенты см. в таблице С.2. 3 Для многожильных кабелей сечением до 10 мм2 поправочные коэффициенты см. в таблице С.3. 4 Эти значения неприменимы для гибких кабелей, намотанных на барабаны (п. 13.7.3). 5 Максимально допустимые значения токов для других кабелей см. МЭК 60364-5-523 [37]. |
||||
Чтобы гарантировать необходимую механическую прочность, минимальное сечение проводников должно быть принято по таблице 6.
13.7.1 Гибкие кабели должны состоять из проводников класса 5 или 6 (таблица 4). Кабель, подвергающийся нагрузкам, должен обеспечивать защиту от:
- истирания, вызываемого механическими манипуляциями и протягиванием вдоль грубых поверхностей;
- перехлестывания в случае отсутствия направляющих;
- напряжений от действия направляющих роликов, намотки и перемотки на барабаны.
Примечания
1 Для работы в таких условиях кабель должен удовлетворять требованиям соответствующих национальных стандартов.
2 При работе в неблагоприятных условиях, таких как высокие растягивающие напряжения, малый радиус изгиба, сгибание не в рабочей плоскости и/или в местах наложения более чем одной тяжелой нагрузки, срок службы кабелей может быть ограничен определенным числом циклов таких воздействий.
13.7.2 Механические характеристики
Размещение проводки по машине должно обеспечивать минимальные растягивающие напряжения на проводниках в процессе ее эксплуатации. Для медных проводников эти напряжения не должны превышать 15 Н/мм2. Если по условиям эксплуатации растягивающие напряжения превышают 15 Н/мм2, следует использовать специальный кабель, максимальное растягивающее напряжение которого должно быть согласовано с изготовителем кабеля. Допустимое максимальное растягивающее напряжение для гибкого немедного кабеля должно быть согласовано с его изготовителем.
Примечание - На растягивающие напряжения в кабеле оказывают влияние следующие условия:
- усилия при ускорениях;
- скорость перемещения;
- вес висящего кабеля;
- способ размещения;
- конструкция барабана для намотки кабеля.
Таблица 6 - Минимальное поперечное сечение медных проводов
|
Применение |
Сечение проводников и кабелей, мм2 |
|||||
|
Одножильный со скрученной жилой |
Одножильный с однопроволочной жилой |
С двумя экранированными жилами |
С двумя неэкранированными жилами |
С тремя экранированными или неэкранированными жилами |
||
|
Снаружи оболочки |
Негибкий силовой провод |
1,00 |
1,50 |
0,75 |
0,75 |
0,75 |
|
Соединение с часто подвижными элементами |
1,00 |
- |
1,00 |
1,00 |
1,00 |
|
|
Соединение в цепях управления |
1,00 |
1,50 |
0,30 |
0,50 |
0,3 |
|
|
Провода для передачи данных |
- |
- |
- |
- |
0,08 |
|
|
Внутри оболочки |
Негибкий силовой провод |
0,75 |
0,75 |
0,75 |
0,75 |
0,75 |
|
Соединение в цепях управления |
0,20 |
0,20 |
0,20 |
0,2 |
0,20 |
|
|
Провода для передачи данных |
- |
- |
- |
- |
0,08 |
|
13.7.3 Допустимая токовая нагрузка для кабеля, наматываемого на барабан
Сечение кабеля, наматываемого на барабан, должно быть выбрано таким образом, чтобы при стандартной рабочей нагрузке в полностью намотанном кабеле температура не превышала допустимого предела.
Для круглого кабеля, наматываемого на барабаны, максимальная токовая нагрузка на открытом воздухе должна находиться в пределах, указанных в таблице 7 (ГОСТ Р 50020.3-3, раздел 4).
Примечание - Допустимая токовая нагрузка для кабеля определяется техническими условиями изготовителя или соответствующими национальными стандартами.
13.8.1 Защита от прямого контакта
Коллекторные провода, щетки и контактные кольца должны устанавливаться таким образом, чтобы при нормальном доступе к машине можно было обеспечить защиту от прямого контакта с помощью одной из следующих мер:
- частичной изоляцией активных частей - это наиболее предпочтительно;
- за счет установки кожухов или заграждений со степенью защиты не ниже IP2X (ГОСТ 30331.3/ГОСТ Р 50571.3, 412.2).
Таблица 7 - Нормируемые факторы для кабелей и кабеленосителей
|
Коэффициент |
|||||
|
Число слоев кабеля |
|||||
|
Любое |
1 |
2 |
3 |
4 |
|
|
Цилиндрический вентилируемый |
- |
0,85 |
0,65 |
0,45 |
0,35 |
|
Радиальный вентилируемый |
0,85 |
- |
- |
- |
- |
|
Радиальный невентилируемый |
0,75 |
- |
- |
- |
- |
|
Примечания 1 На барабане радиального типа спиральные слои кабеля укладываются между двумя близко расположенными фланцами; если фланцы сплошные, то барабан считают невентилируемым, если они имеют отверстия, барабан считают вентилируемым. 2 На вентилируемом цилиндрическом барабане слои кабеля уложены между широко расположенными фланцами: и на барабане, и на торцах фланцев. 3 Рекомендуется обсудить оценочные коэффициенты с изготовителями кабеля и барабанов. В этом случае значения в таблицы, возможно, будут скорректированы. |
|||||
Верхние, легкодоступные горизонтальные поверхности заграждений и кожухов должны иметь степень защиты не ниже IP4X (ГОСТ 30331.3/ГОСТ Р 50571.3, 2.2). Если таким образом невозможно обеспечить требуемую степень защиты, следует разместить активные части вне зоны досягаемости и установить выключатель аварийного отключения в соответствии с 9.2.5.4.3.
Расположение и защита коллекторных проводов и щеток должны быть такими, чтобы:
- предотвратить их контакт - в особенности это касается проводов и щеток, не имеющих защиты, - с токопроводящими предметами, такими как тяговые шнурки, устройства для снятия нагрузки и приводные цепи;
- предотвратить повреждения, вызываемые раскачивающимся грузом.
Коллекторные провода, щетки и контактные кольца, являющиеся частью цепи защиты, не должны находиться под напряжением при нормальной работе. Поэтому проводник защиты (РЕ) и нейтральный проводник имеют отдельный коллекторный провод, щетку и контактное кольцо.
Непрерывность цепи проводника защиты со скользящими контактами обеспечивается с помощью соответствующих средств (например, дублированием токового коллектора и постоянным контролем).
13.8.3 Токовые коллекторы проводника защиты
Токовые коллекторы проводника защиты должны иметь скользящие контакты и такую конфигурацию, чтобы они не были взаимозаменяемы с другими токовыми коллекторами.
13.8.4 Съемные токовые коллекторы с разъединительной функцией
Съемные токовые коллекторы с разъединительной функцией должны обеспечивать прерывание цепи проводника защиты только после отключения активных проводников и ее восстановления перед повторным подключением любого из активных проводников (п. 8.2.6).
13.8.5 Воздушные зазоры
Зазоры между проводниками и смежными системами коллекторных проводов, щеток и контактных колец должны соответствовать требуемым для работы в среде с загрязнениями степени 3 (МЭК 60664-1 [21], 2.5).
13.8.6 Длина путей утечки по изоляции
Пути утечки по изоляции проводников, смежных систем коллекторных проводов, щеток, контактных колец и их токовых коллекторов должны соответствовать требуемым для работы в среде с загрязнениями степени 3 (МЭК 60664-1 [21], 2.5).
Для среды с аномально повышенной загрязненностью, влажностью или агрессивностью действуют следующие требования:
- коллекторные провода, щетки и контактные кольца, не имеющие защиты, должны быть снабжены изоляторами с минимальными путями утечки 60 мм;
- коллекторные провода, изолированные многополосные коллекторные щетки, изолированные индивидуальные коллекторные щетки должны иметь минимальные пути утечки 30 мм.
Изготовитель должен дать рекомендации в отношении специальных мер, предотвращающих постепенное снижение изолирующей способности вследствие воздействия неблагоприятных условий окружающей среды (например, осаждения токопроводящей пыли, химических реакций).
13.8.7 Разделение системы проводников на участки
Если схема расположения коллекторных проводников и щеток такова, что ее можно разделить на изолированные участки, в схеме следует предусмотреть специальные средства, предотвращающие попадание тока на смежные участки через токовые проводники.
13.8.8 Изготовление и монтаж коллекторных проводов, щеток и контактных колец
Коллекторные провода, щетки и контактные кольца силовых цепей должны размещаться отдельно от таких же деталей цепей управления. Коллекторные провода, щетки и контактные кольца должны выдерживать, не повреждаясь, механические усилия и тепловые воздействия, возникающие при коротком замыкании.
Съемные крышки для систем коллекторных проводов и щеток, расположенные под землей или полом, должны быть такой конструкции, чтобы их мог открыть вручную один человек, без помощи инструмента.
Если коллекторные щетки устанавливаются в общей металлической оболочке, отдельные секции оболочки должны быть соединены вместе и заземлены в нескольких точках; количество точек зависит от длины секций.
Металлические крышки коллекторных щеток, находящихся под землей или полом, должны быть соединены вместе и заземлены.
Примечание - В эквипотенциальных соединениях или соединениях проводника защиты с крышкой или пластинами металлических оболочек, либо подпольных каналах, для обеспечения непрерывности цепи достаточно использовать металлические петли.
Подземные или подпольные металлические каналы должны быть снабжены дренажными устройствами.
Все соединения, в особенности относящиеся к цепи защиты, должны быть надежно закреплены, чтобы избежать несвоевременного ослабления.
Средства соединения должны соответствовать поперечному сечению и типу соединяемых проводов. В случае использования алюминиевых или из сплава алюминия проводов необходимо учитывать особые условия, связанные с проблемами электролитической коррозии (п. 13.2).
Присоединение двух или более проводов к одному ответвительному зажиму допускается только в случае, если зажим предназначен для этого. Однако к ответвительному зажиму должен присоединяться только один провод цепи защиты.
Паяные соединения допускаются, только если зажимы предусмотрены для этого.
Зажимы блоков контактных зажимов должны четко маркироваться в соответствии с указаниями схем.
Установка гибких каналов и прокладка гибких кабелей должны быть такими, чтобы жидкости вытекали наружу из арматуры.
Должны поставляться средства удержания жил проводов, если они отсутствуют у приборов и зажимов. Пайка для этой цели не может быть применена.
Концы экранированных проводов должны быть оконцованы таким образом, чтобы избежать раздергивания стренг и не позволить их легко разъединить.
Маркировочные этикетки должны легко читаться, быть прочными и устойчивыми к условиям окружающей среды.
Блоки контактных зажимов должны соединяться и устанавливаться таким образом, чтобы внутренние и внешние электропроводки были непроходимы за пределами зажимов (МЭК 60947-7-1 [26]).
14.1.2 Прокладка кабелей и проводов
Провода и кабели должны проходить от одного зажима к другому без сращиваний или промежуточных соединений.
Когда необходимо соединять и разъединять кабели и группы кабелей, они должны иметь достаточную для этих целей дополнительную длину.
Концы кабелей с многопроволочными жилами должны фиксироваться таким образом, чтобы на концы проводов не воздействовала никакая чрезмерная механическая нагрузка.
Везде, где это возможно, защитный провод должен располагаться вблизи активных проводников, чтобы уменьшить полное сопротивление контура.
14.1.3 Провода различных цепей
Провода различных цепей могут быть уложены рядом или в один и тот же короб (например, канал, желоб, лоток для прокладки кабеля), или является частью одного многожильного кабеля, когда это отрицательно не влияет на нормальную работу цепей. Когда эти цепи должны выдерживать различные напряжения, провода необходимо отделить соответствующими барьерами или же изолировать от наиболее высокого напряжения, которое подается на какой-либо провод внутри одного короба.
Концы проводов должны быть распознаваемы на каждом конце в соответствии с технической документацией (раздел 19).
Если для идентификации проводов применяют маркировку цветом, могут быть использованы следующие цвета: черный, коричневый, красный, оранжевый, желтый, зеленый, голубой (включая светло-голубой), фиолетовый, серый, белый, розовый, бирюзовый.
Примечание - Перечень цветов взят из ГОСТ 28763.
Когда цвет используют как средство идентификации, рекомендуется наносить этот цвет по всей длине провода соответствующими метками или применять изоляционные материалы такого же цвета. Допустимым вариантом является использование дополнительных обозначений в выбранных местах.
В целях безопасности цвета зеленый и желтый не должны использоваться, если имеется возможность спутать их с двухцветным сочетанием зеленый - желтый (п. 14.2.2).
Обозначение цветом с применением сочетаний, указанных выше, может быть использовано, если отсутствует опасность их перепутать, и не используются зеленый и желтый цвета отдельно, а только в двухцветном сочетании зеленый - желтый.
14.2.2 Идентификация защитного провода
Защитный провод должен быть легко распознаваем благодаря своей форме, расположению, маркировке или цвету. Когда используют обозначение цветом, это должно быть двухцветное сочетание зеленый - желтый. Его используют по всей длине провода. Это сочетание предназначено только для защитного провода.
На изолированных проводах двухцветное сочетание зеленый - желтый должно быть таким, чтобы на длине 15 мм один из цветов покрывал не менее 30 %, но не более 70 % поверхности провода, а другой цвет - оставшуюся часть.
Когда защитный провод легко различим благодаря своей форме, конструкции, расположению (например, провод с оплеткой) или когда изолированный провод труднодоступен, цветовое кодирование не является обязательным по всей длине. Однако концы или доступные части должны четко маркироваться графическим символом 417-МЭК-5019 или двухцветным сочетанием зеленый - желтый.
14.2.3 Идентификация нулевого провода
Когда цепь включает нулевой провод, обозначаемый цветом, последний должен быть светло-голубым (ГОСТ Р 50462, 3.1.2). Если возможно разночтение, светло-голубой цвет не должен использоваться для обозначения других проводов.
При отсутствии нулевого провода светло-голубой провод может быть использован для других целей, но только не в качестве защитного провода.
Когда используют обозначение цветом, применяемые в качестве нулевых неизолированные провода должны маркироваться светло-голубой полосой шириной от 15 до 100 мм, цвет, который дублируют на каждой оболочке, оборудовании или в каждом доступном месте, или же окрашивают в светло-голубой цвет по всей длине.
14.2.4 Идентификация других проводов
Идентификация других проводов должна осуществляться с помощью цвета (или целиком, или одной или несколькими полосами), цифр, букв, а также путем их сочетания. Цифры должны быть арабскими, буквы - латинскими (прописными или строчными).
Изолированные однополярные жесткие провода должны иметь следующее цветовое обозначение:
- черный - силовые цепи переменного и постоянного тока;
- красный - цепи управления переменного тока;
- голубой - цепи управления постоянного тока и
- оранжевый - цепи управления блокировкой с питанием от внешнего источника энергии.
Исключения относительно вышеперечисленного допустимы:
- для внутренних кабелей на независимых приборах, приобретаемых отдельно с полным комплектом кабелей;
- когда используемый изоляционный материал невозможно окрасить в нужные цвета;
- когда используется многопроводный кабель, за исключением двухцветного сочетания зеленый - желтый.
Расположенные на панелях или стенах провода должны, в случае необходимости, фиксироваться на своем месте. Использование неметаллических коробов и каналов должно быть разрешено только в случае, если они изготовлены из материалов, препятствующих распространению огня (ГОСТ Р МЭК 332-1).
Устанавливаемое внутри оболочек электрооборудование рекомендуется конструировать и изготовлять так, чтобы была возможность проводить изменения электропроводки с фронтальной части оболочки (п. 12.2.1). Когда это невозможно, и если приборы управления подключены в глубине оболочки, необходимо предусмотреть дверцы для доступа или монтажные поворотные панели.
Подводы к устанавливаемым на дверцах или других съемных частях устройствам должны выполняться с помощью гибких проводов в соответствии с требованиями 13.2 и не препятствовать частому перемещению этих частей. Провода должны крепиться к фиксированным частям и подвижным деталям независимо от электрических соединений (п. 8.2.3 и 12.2.1).
Провода и кабели, не уложенные в короба, должны быть закреплены соответствующим образом.
Для переходов монтажа электропроводки управления, которая продолжается за пределами оболочки, должны использоваться блоки контактных зажимов или розеточные и вилочные части переходников (разъемов).
Силовые кабели и кабели измерительных цепей могут быть присоединены непосредственно к зажимам устройств, которые допускают такое соединение.
Системы, предусмотренные для прокладки кабелей или коробов, и их собственные уплотнительные кабельные вводы, соединительные гильзы и т.д. внутри оболочки должны быть такими, чтобы не снижалась степень ее защиты (п. 12.3).
Провода и их соединения, расположенные снаружи оболочки или кожухов электрооборудования, должны быть уложены в короба (например, трубы, каналы, лотки), как описано в 14.5, за исключением надежным способом защищенных кабелей, которые могут прокладываться без защитного короба с использованием или без использования открытых кабельных трасс или опорных конструкций.
Используемая с коробами или многожильными кабелями арматура должна быть приспособлена к условиям окружающей среды.
В случае необходимости, для выполнения гибких соединений с подвесными кнопочными станциями необходимо использовать гибкий канал или гибкий многопроводный кабель. Подвесные кнопочные станции должны удерживаться на весу не за счет гибкого канала или многопроводного кабеля, а с помощью других средств. Однако это возможно, если канал или кабель специально предназначены для этого.
Для соединений, требующих незначительных и редких перемещений, необходимо использовать гибкий канал или многопроводный гибкий кабель. Допускается их подвод к стационарным двигателям, концевым выключателям и другим устройствам, которые монтируются снаружи. Когда имеются гибкие подводы многожильного кабеля, например к позиционным датчикам, концевым выключателям, тогда не требуется для них дополнительная защита прокладкой в защитном канале.
14.4.3 Присоединение к подвижным элементам машины
Соединения с часто перемещаемыми деталями должны выполняться с помощью проводов, предусмотренных для этой цели в соответствии с 13.2. Гибкие кабели и каналы должны укладываться таким образом, чтобы исключить чрезмерные изгибы и нагрузки, в особенности на их концевой арматуре.
Кабели, предназначенные для перемещений, должны быть установлены таким образом, чтобы не возникло никаких резких перегибов, механических повреждений в точках соединения. В том случае, когда это достигается при использовании петель, кабели должны иметь достаточную длину, чтобы обеспечить радиус изгиба, по крайней мере, в десять раз превышающий диаметр самого кабеля.
Гибкие кабели машин должны быть установлены или защищены таким образом, чтобы минимизировать возможность получения внешних повреждений, которая возникает вследствие факторов, обусловленных следующими способами использования кабеля или потенциальными нагрузками:
- прохождением кабеля через машину или по ней;
- прохождением кабеля через тележки или поверх других машин;
- контактированием с элементами машин во время движения;
- сматыванием с катушек и наматыванием на катушки или на кабельные барабаны, или сматывание с кабельных барабанов;
- воздействием инерционных усилий и ветровых нагрузок на гирлянды кабелей или подвесные кабели;
- кабельных соединений, подверженных избыточным изгибам;
- подверженностью избыточному воздействию теплового излучения.
Оболочка кабеля должны быть устойчивой к обычному износу, который может наблюдаться в результате перемещения и под воздействием паров веществ, содержащихся в атмосфере масла, воды, охлаждающей жидкости, пыли.
Если кабель, подверженный воздействию перемещений, расположен в непосредственной близости к подвижным частям, необходимо предусмотреть пространство не менее 25 мм между этими подвижными деталями и кабелями. Когда такое расстояние практически невозможно обеспечить, необходимо устанавливать фиксированные перегородки между кабелями и подвижными частями.
Система установки кабелей должна быть спроектирована таким образом, чтобы угол скручивания кабеля не превышал 5° в случаях, когда кабель:
- наматывается на или сматывается с кабельного барабана;
- подводится к устройству направления кабелей или отводится от него.
Должны быть приняты меры, чтобы на барабане оставалось по меньшей мере два витка кабеля.
Устройства, предназначенные для того, чтобы направлять или нести гибкий кабель, должны быть спроектированы таким образом, чтобы внутренний радиус изгиба во всех точках, где кабель меняет свое направление, был не менее значений, приведенных в таблице 8, за исключением случаев, когда заключено специальное соглашение с производителем кабеля с учетом допустимых напряжений и ожидаемого срока службы при усталостных воздействиях.
Прямоугольное сечение двух изгибов S-образной формы или перегибов в другую плоскость должно по меньшей мере в 20 раз превышать диаметр кабеля.
Таблица 8 - Минимальные радиусы изгиба при размещении гибких кабелей
|
Диаметр кабеля или толщина плоского кабеля d, мм |
|||
|
d |
8 < d |
d > 20 |
|
|
Кабельные каналы |
6d |
6d |
8d |
|
Кабельные барабаны |
6d |
8d |
8d |
|
Подвеска подвижная (на тросе) |
6d |
6d |
8d |
|
Остальные случаи |
6d |
6d |
8d |
Когда гибкий кабель подводится к подвижным частям, конструкция и средства установки должны исключать повреждения гибкого подвода при всех рабочих режимах. Гибкий металлический рукав не должен использоваться в случае быстрых или частых движений, за исключением случая, когда он специально спроектирован для этой цели.
14.4.4 Соединения устройств машины между собой
Когда несколько переключающих устройств, установленных на машине (например, датчики положения, кнопочные выключатели), соединены последовательно или параллельно, рекомендуется, чтобы соединения между этими устройствами осуществлялись через зажимы, имеющие промежуточные контрольные точки. Подобные зажимы должны быть соответствующим образом размещены, надлежащим образом защищены и указаны на относящихся к этому схемах.
Присоединения с помощью разъемных соединителей с поляризованным контактом могут быть использованы, когда оборудование является разборным. Вилочная и розеточная части соединителя должны быть сконструированы таким образом, чтобы соединение с цепью защиты происходило до подсоединения к токоведущим частям, находящимся под напряжением, и не прерывалось до тех пор, пока все токоведущие части не будут отключены (п. 6.2.4). Исключение делается для описанных в БСНН цепей и в случаях, когда вилочная и розеточная части соединителя используются только при сборке и разборке частей машины (многополюсные соединители).
Вилочные и розеточные части соединителей, которые калибруются на токи более 16 А и остаются соединенными в обычном режиме, должны иметь фиксаторы, позволяющие избежать непроизвольное рассоединение. Калиброванные на токи 63 А и более вилочные и розеточные части соединителей должны быть снабжены блокировкой с комбинированным выключателем, разрешающим производить их перекоммуникацию только в положении «отключено». Вилочные и розеточные части соединителя должны иметь конструкцию такого типа, чтобы во всех случаях можно было избежать любого непроизвольного контакта с находящимися под напряжением частями, даже во время включения и разъединения соединителей. Это требование не распространяется на цепи БСНН.
Когда в одном и том же электрооборудовании используют несколько вилочных и розеточных частей соединителей, они должны четко идентифицироваться. Чтобы избежать неправильного включения, рекомендуется использовать механическую ориентацию (кодировку) частей электрических соединителей.
Разъемные соединители, тип которых соответствует ГОСТ 29146.1, или предназначенные для приборов бытового назначения, не должны использоваться в цепях управления.
14.4.6 Разборка для транспортировки
Зажимы в доступном корпусе (соединительные коробки) или панели вилочных и розеточных частей соединителей должны быть предусмотрены в местах разделения, где электропроводка подлежит обязательному разъединению при транспортировании. Эти зажимы или соединители должны быть соответствующим образом защищены от физического воздействия окружающей среды во время транспортирования и хранения.
Необходимо предусмотреть поставку дополнительных проводов для обслуживания и ремонта. Если эти провода установлены, они должны быть подсоединены к запасным зажимам (или изолированным) таким образом, чтобы исключалась возможность всякого контакта с токоведущими частями.
Короба должны обеспечивать минимальную степень защиты IP33 (ГОСТ 14254).
Все острые края, сколы, заусенцы, шероховатые поверхности или резьба, с которыми может контактировать изоляция проводов, должны быть удалены с коробов и соединительных (проходных) коробок. В случае необходимости могут быть применены дополнительные защитные средства (такие как, например, пожаростойкие и маслоустойчивые материалы), чтобы предохранить изоляционный материал провода.
В лотках для прокладки кабеля, соединительных и ответвительных коробках могут допускаться отверстия диаметром 6 мм для удаления воды, если предполагается ее скопление в этих кабельных конструкциях.
Чтобы избежать путаницы между электрическими и масляными, воздушными или водяными каналами, рекомендуется физически отделять их или соответственно четко маркировать.
Открытые короба и лотки для прокладки кабеля должны жестко закрепляться на достаточном удалении от подвижных частей машины, чтобы уменьшить опасность повреждения или износа. В местах, где необходим проход людей, открытые короба и лотки должны монтироваться на высоте как минимум 2 м над рабочей площадкой.
Кабельные короба должны использоваться только как механическая защита (п. 8.2.3 в части требований к соединению с защитными цепями).
Ввиду того, что кабельные подводы (лотки), которые защищены лишь частично, не рассматриваются в качестве коробов или кабельных несущих систем (п. 14.5.6), то используемые кабели должны быть пригодны для установки на кабельных лотках (п. 14.4.2).
14.5.2 Коэффициент заполнения коробов
Необходимо, чтобы коэффициент заполнения основывался на показателях длины и прямолинейности короба и гибкости проводов. Рекомендуется, чтобы расположение коробов и их размеры позволяли легко укладывать на место провода и кабели.
14.5.3 Жесткие металлические каналы и арматура
Жесткие металлические каналы и арматура должны быть изготовлены из гальванизированной стали или материала, устойчивого к коррозии, и приспособлены к условиям эксплуатации. Не рекомендуется использовать различные материалы, которые при контакте могут являться источником гальванической коррозии.
Канал должен удерживаться на месте надежным способом и крепиться на каждом конце.
Арматура должна быть совместима с каналом и приспособлена к условиям использования. Арматура должна иметь резьбу, если, конечно, сложная конструкция не препятствует монтажу. Когда используется арматура без резьбы, канал должен крепиться к оборудованию надежным образом.
Каналы должны быть выполнены таким образом, чтобы исключалось их повреждение, а внутренний диаметр канала значительно не уменьшался при изгибе.
14.5.4 Гибкие металлические каналы и арматура
Гибкий металлический канал должен состоять из гибких металлических труб или включать бронепокров из проволоки с оплеткой. Он должен соответствовать условиям окружающей среды. Арматура должна быть совместима с каналом и приспособлена к условиям эксплуатации.
14.5.5 Гибкий неметаллический канал и арматура
Гибкий неметаллический канал должен обладать устойчивостью к кручению и иметь физические характеристики, сравнимые с оболочкой многожильных кабелей.
Канал должен соответствовать требуемым условиям окружающей среды и температуры. Арматура должна быть совместима с каналом и приспособлена к условиям эксплуатации.
14.5.6 Лотки для прокладки кабеля
Расположенные снаружи оболочек лотки для прокладки кабелей должны быть жестко закреплены и достаточно удалены от всех подвижных или загрязняющих частей машины.
Крышки должны иметь такую форму, чтобы захватывались боковые стороны; требуется применение уплотнений. Крышки должны крепиться к лоткам для прокладки кабелей с помощью шарниров или цепей и закрываться винтом с захватом или другими соответствующими средствами. На горизонтальных лотках не допускается нижнее расположение крышки.
Когда лоток для прокладки кабелей собирается из звеньев (секций), уплотнения между звеньями должны плотно пригоняться друг к другу, однако это не должно вызывать необходимость применения сальников.
Единственными допустимыми отверстиями должны быть те, которые необходимы для монтажа электропроводки и удаления жидкости. Лотки для прокладки кабелей не должны открываться с применением ударов.
14.5.7 Отсеки машины и лотки для прокладки кабелей
Для машины или лотков прокладки кабелей внутри опоры или основания машины может допускаться использование секций (отсеков), если отсек или лоток изолирован от резервуаров с охлаждающим веществом или маслом или же полностью закрыт. Укладка проводов в закрытые отсеки и лотки должна быть надежна и осуществляться таким образом, чтобы исключить физические нарушения.
14.5.8 Зажимы, соединения и соединительные коробки
Зажимы должны быть размещены в легкодоступных оболочках. Соединения и соединительные коробки (включая все отверстия), находящиеся на машине(ах), должны иметь степень защиты в соответствии с 12.3. Уплотнительные прокладки или сальники этих коробок должны выдерживать предполагаемые воздействия условий окружающей среды, включая загрязняющие вещества.
14.5.9 Зажимные коробки двигателей
Зажимные коробки двигателей должны содержать только подсоединения к двигателю и устройствам, установленным на нем (например, тормозу, температурным датчикам, выключателям, тахометрическому генератору).
Электродвигатели должны удовлетворять требованиям МЭК 60034-1 [3].
Электродвигатели и связанное с ними оборудование должно быть защищено от:
- сверхтоков в соответствии с 7.2;
- перегрузок в соответствии с 7.3;
- разносной частоты вращения в соответствии с 7.6;
Многие управляющие устройства не прерывают питание двигателя, когда он не работает. Следовательно, необходимо принять меры предосторожности, чтобы убедиться в выполнении требований 5.3 - 5.5, 7.5, 7.6 и 9.4. Аппаратура управления двигателем должна располагаться и монтироваться в соответствии с требованиями настоящего раздела.
Рекомендуется выбирать кожухи двигателей из перечисленных в МЭК 60034-5 [4].
Степень защиты для всех двигателей должна быть равна по меньшей мере IP23 (ГОСТ 14254). В зависимости от условий эксплуатации и окружающей среды могут предъявляться более жесткие требования (п. 4.4). Встроенные двигатели, которые являются составной частью машины, должны быть установлены таким образом, чтобы обеспечивалась надежная механическая защита.
Насколько возможно, размеры двигателей должны удовлетворять требованиям МЭК 60072-1 [8] и МЭК 60072-2 [9].
Каждый двигатель и его вспомогательное оборудование должны устанавливаться таким образом, чтобы обеспечивалась правильная защита и легкий доступ для контроля, обслуживания, регулировки, смазки и замены. Монтаж двигателя должен обеспечивать возможность снятия всех крепежных средств и доступ к зажимным коробкам.
Двигатели должны быть установлены таким образом, чтобы обеспечивалось правильное охлаждение, а их нагрев оставался в пределах, предусмотренных для изоляции соответствующего класса (МЭК 60034-1 [3]).
Необходимо, чтобы, по мере возможности, отсеки двигателей были чистыми и сухими; при необходимости они должны вентилироваться наружу. Вентиляционные отверстия должны быть такими, чтобы проникновение стружек, пыли или водяных брызг было на допустимом уровне.
Между моторным отсеком и другими частями не должно быть отверстий, которые бы не удовлетворяли требованиям, предъявляемым к размещению данного электродвигателя. В случае если канал или шланг проходят в моторный отсек из другого отсека без соблюдения этих требований, то любой зазор вокруг них должен быть тщательно загерметизирован.
Характеристики двигателей и соединенного с ними оборудования должны выбираться в зависимости от условий эксплуатации и окружающей среды (п. 4.4). Параметры, которые должны быть тщательным образом учтены, включают:
- тип двигателя;
- тип рабочего цикла (МЭК 60034-1 [3]);
- работу при установленной и изменяющейся скоростях (и переменное влияние получаемой в результате этого вентиляции);
- механическую вибрацию;
- тип преобразователя для управления скоростью двигателя (МЭК 60146-1-1 [11]);
- влияние на нагрев спектра гармоник напряжения и/или тока питания двигателя (когда последний подается от статического преобразователя);
- способ запуска и возможное влияние пускового тока включения на работу других потребителей с учетом возможных специальных требований к источнику, подающему энергию;
- изменение противодействующего момента в зависимости от времени и скорости;
- влияние нагрузок со значительной инерцией;
- влияние постоянного вращающего момента или работы с постоянной мощностью, и
- возможную потребность в наличии реактора между двигателем и преобразователем.
Управление от перегрузочных защитных устройств для механических тормозов должно вызывать одновременное отключение соответствующих приводов на машине.
Примечание - Комплектные машинные приводы объединяются по принципу какого-либо движения.
Когда машина или связанное с ней оборудование снабжены разъемными контактными соединениями, предназначенными для питания вспомогательного оборудования (например, электрическая переносная аппаратура, испытательное оборудование), соблюдают следующие условия:
- рекомендуется, чтобы эти разъемные контактные соединения отвечали требованиям ГОСТ 29146.1. Если это невозможно, необходимо, чтобы они были четко промаркированы с указанием номинальных значений напряжения и тока;
- принять меры предосторожности, чтобы обеспечить непрерывность цепи защиты (исключения приведены в 6.4);
- все незаземленные и соединенные с выходной штепсельной розеткой провода должны быть надлежащим образом защищены от сверхтоков и, если требуется, от перегрузок в соответствии с требованиями 7.2 и 7.3, отдельно от защиты других цепей;
- когда питание штепсельной розетки не прерывается расположенным на машине общим выключателем, применяют требования 5.3.5.
Соединения с цепью защиты должны соответствовать требованиям 8.2.2.
Выключатель ПУСК/ОСТАНОВКА не должен находиться ни на патроне, ни на гибком кабеле питания.
Стробоскопический эффект от освещения ламп должен быть исключен применением соответствующих светильников.
Когда внутри оболочки с электрооборудованием предусмотрено постоянное освещение, необходимо учитывать электромагнитную совместимость (п. 4.4.2).
Рекомендуется, чтобы номинальное напряжение цепи местного освещения не превышало 50 В между проводами. Если применяют более высокое напряжение, его значение не должно превышать 250 В между проводами.
Источником питания цепи освещения должно быть одно из следующих устройств (п. 7.2.6):
- развязывающий трансформатор, соединенный со стороны нагрузки основного устройства отключения. Во вторичной цепи должна быть предусмотрена защита от сверхтоков;
- развязывающий трансформатор, соединенный со стороны линии основного устройства отключения. Использование этого источника может допускаться только для цепей освещения шкафов управления. Во вторичной цепи должна быть предусмотрена защита от сверхтоков (п. 5.3.5 и 14.1.3);
- цепь машины с отдельной защитой от сверхтоков;
- развязывающий трансформатор, соединенный со стороны линии основного устройства отключения, если отдельное устройство отключения (п. 5.3.5) в первичной цепи и защита от сверхтоков во вторичной установлены в шкафу управления, который расположен рядом с основным устройством отключения питания (п. 14.1.3);
- цепь освещения, питаемая снаружи (например, заводское освещение), только для цепей освещения шкафов управления и рабочего освещения машин, у которых общая мощность двигателей не превышает 3 кВт.
Исключение - В случаях, когда постоянное освещение находится вне доступа оператора при нормальном функционировании, условия этого раздела не рассматривают.
16.2.3 Защита
Цепи местного освещения должны соответствовать требованиям 7.2.6.
16.2.4 Светильники
Регулируемые светильники должны быть адаптированы к условиям эксплуатации.
Патроны должны:
- соответствовать стандартам на патроны и
- изготавливаться из изоляционного материала, полностью закрывающего цоколь лампы, чтобы избежать любого случайного контакта.
Отражатели должны крепиться к арматуре лампы, а не к патрону.
Исключение - В случаях, когда постоянное освещение находится вне доступа оператора при нормальном функционировании, эти условия не рассматривают.
На электрооборудование должна быть нанесена маркировка с указанием наименования изготовителя, его торговой марки или других символов и, когда требуется, сертификационного знака.
Заводские таблички электротехнических устройств должны быть стойкими к внешним воздействиям окружающей среды.
Оболочки,
на которых четко не обозначено, что они содержат электрооборудование, должны
обозначаться молнией черного цвета на желтом фоне треугольника с черной каймой
в соответствии с графическим
символом 60417-2-МЭК-5036 и ИСО 3864 [32], В.3.6![]()
Аварийные маркировочные знаки должны быть ясно видимы при закрытых дверце или оболочке.
Аварийные сигналы можно не использовать:
- когда оболочка снабжена устройством отключения питания;
- на интерфейсах оператора или пульте управления;
- на единственном устройстве в его собственной оболочке (например, датчике положения).
Используемые в интерфейсе человек-машина устройства управления и показывающие измерительные приборы (в особенности, относящиеся к функциям безопасности) должны четко и прочно маркироваться в зависимости от их функций. Маркировка должна наноситься или на сами устройства и приборы, или рядом с ними. Такие маркировки должны согласовываться между потребителем и поставщиком электрооборудования (приложение В). Следует отдавать предпочтение использованию стандартных символов по ГОСТ 28312 и ИСО 7000 [33].
Аппаратура управления (например, блок приборов) должна четко и прочно маркироваться, чтобы обслуживающий персонал мог видеть маркировку после ее нанесения. Везде, где это возможно, к оболочке должна крепиться заводская или фирменная табличка со следующими данными:
- наименование или заводская марка поставщика;
- сертификационный знак, если он требуется;
- серийный номер, если применяется;
- номинальное напряжение, число фаз и частота (при переменном токе) и ток полной нагрузки (для каждого источника питания, если их более одного) (МЭК 61082-1 [27]);
- номинальный ток наибольшего двигателя или наиболее высокой нагрузки;
- отключающая способность токов короткого замыкания для защитного устройства при сверхтоках машины, когда оно поставляется как часть оборудования;
- номер или номера электрических схем или чертежей.
Указанный на заводской или фирменной табличке электротехнического устройства ток полной нагрузки не должен быть менее значений суммы токов полной нагрузки всех двигателей и другого оборудования, которые могут одновременно находиться в работе в обычных условиях эксплуатации. Когда переменная нагрузка или рабочие циклы требуют определения термически эквивалентных токов (п. С.2), в указанное на заводской табличке электротехнического устройства значение тока полной нагрузки должны быть включены необходимые допустимые пределы.
Когда используют только одно пусковое устройство двигателя, информация об этом может наноситься только на заводскую табличку электротехнического устройства машины, если эта табличка достаточно четко видна.
Все оболочки, блоки, приборы управления и составные элементы должны четко маркироваться теми же знаками, которые указаны в технической документации. Эти обозначения должны удовлетворять требованиям МЭК 61346-1 [30].
Когда размер или расположение прибора не позволяет нанести маркировочный знак (индивидуальный), необходимо применять групповое обозначение.
Исключение - Требования этого раздела могут не распространяться на машины, оборудование которых включает только один двигатель, одно пусковое устройство для двигателя, один или несколько постов управления с кнопочными выключателями и одну или несколько рабочих сигнальных ламп.
Документация, необходимая для установки, использования и обслуживания электрооборудования машины, должна поставляться в виде чертежей, схем, диаграмм, таблиц и инструкций. Все указанные в ней сведения должны быть на языке потребителя (приложение В).
Сопутствующая поставке информация может варьироваться в зависимости от сложности поставляемого электрооборудования. Для очень простого оборудования соответствующие сведения могут содержаться в одном документе при условии, что этот документ включает все приборы электрооборудования и позволяет выполнить подсоединение к сети питания.
Поставщик должен гарантировать, что указанная в разделе техническая документация поставляется с каждой машиной.
Предоставляемые с электрическим оборудованием данные должны включать:
a) подробные сведения по установке, включая информацию по монтажу и подключению к электросети (электросетям);
b) требования к питанию электроэнергией;
c) сведения об условиях физической окружающей среды (например, освещение, уровень вибрации и шума, атмосферное загрязнение), если необходимо;
d) функциональная(ые) схема(ы) системы, если имеется;
e) принципиальная электросхема или схемы цепей;
f) информацию (если имеется) относительно:
1) программирования,
2) последовательности операций,
3) частоты проверок,
4) периодичности и методах функциональных испытаний,
5) регулировки, обслуживания и ремонта оборудования, особенно для приборов и цепей защиты (инструкции),
6) конструктивных элементов и в особенности перечень запасных частей (перечень);
g) описание (включая схемы межсоединений) защитных устройств, взаимодействующих функций, блокировки защитных устройств при опасных движениях, в особенности для машин, работающих скоординированно, и
h) описание методов и средств защиты при нейтрализации первичных защитных устройств (например, ручное программирование, проверка программ) (п. 9.2.4).
Технические документы должны быть подготовлены в соответствии с 18.4 - 18.10 настоящего стандарта и требованиями МЭК 61082-1 [27].
Используемая система обозначений должна соответствовать МЭК 61346-1 [30].
Чтобы снабдить ссылками различные документы, поставщик должен выбрать один из следующих методов:
- каждый из документов должен быть снабжен справочником со ссылкой на номера всех других документов, относящихся к этому же электрооборудованию, или
- все документы должны быть описаны с их номерами и заголовками на схеме или перечне документов.
Первый метод должен использоваться только в случае, если документация включает лишь небольшое число документов (например, менее пяти).
Техническая документация должна содержать следующую информацию:
- об условиях нормальной работы электрооборудования, включая ожидаемые условия снабжения электроэнергией и, при необходимости, физической окружающей среды;
- об обслуживании, транспортировании и хранении;
- о несоответствующем использовании оборудования.
Эта информация может быть представлена в виде отдельного документа или как часть документации по монтажу и эксплуатации.
Рекомендуется, чтобы эта документация содержала, при необходимости, сведения относительно нагрузки и пиках пускового тока и о допустимых падениях напряжения. Эта информация должна содержаться в любом из текстовых документов или в принципиальных электросхемах.
Монтажные схемы должны содержать все сведения, необходимые для предварительной работы по монтажу машины. В сложных случаях может возникнуть необходимость обратиться за справками относительно деталей к монтажным схемам.
Рекомендуемые положения, типы и поперечное сечение укладываемых на место кабелей питания должны быть четко указаны.
Данные, необходимые для выбора типа, характеристик, номинальных значений тока и уставок приборов защиты от сверхтоков, которые устанавливаются для кабелей электропитания, должны быть определены (п. 7.2.2).
Размер, применение и расположение коробов, которые должны поставляться потребителем, должны быть подробно описаны в схемах размещения кабельных каналов (приложение В).
Размер, тип и применение коробов, лотков и опорных конструкций для прокладки кабелей между машиной и соединенного с ней оборудования, поставляемых потребителем, должны быть подробно изложены на схемах или чертежах (приложение В).
Чертеж должен показывать, если необходимо, место для демонтажа или обслуживания электрооборудования.
Примечание - Примеры схем размещения - в МЭК 61082-4 [38].
При необходимости схема или таблица межсоединений должна сопровождать поставляемое электрооборудование. Эта схема (или таблица) должна содержать все сведения о наружных соединениях. Когда электрооборудование предназначено для работы при питании от различных источников питания, схема (таблица) должна указывать изменения или межсоединения, необходимые для использования каждого источника питания.
Примечание - Примеры схем/таблиц межсоединений - в МЭК 61082-3 [39].
Блок-схема системы должна поставляться в случае, когда это необходимо для облегчения понимания принципов работы. Блок-схема дает символическое представление об электрооборудовании и пересекающихся функциональных связях без обязательного показа всех межсоединений.
Примечания
1 Образцы функциональных схем можно найти в МЭК 61082-2 [40], раздел 2.
2 Образцы блок-схем и диаграмм - в МЭК 61082-2 [40], раздел 2.
Функциональные схемы могут быть использованы как части блок-схемы или приложения к ней.
Когда на схеме системы недостаточно подробно показаны элементы электрооборудования, требуется поставка одной или нескольких схем цепей (принципиальных схем). Эти схемы должны показывать электрические цепи на машине и соединенном с ней оборудовании. Все отсутствующие в МЭК 60617 [22] графические символы должны быть указаны отдельно и описаны на схемах или в прилагаемых документах. Символы и обозначения составных элементов и приборов должны быть постоянными и идентичными во всех документах и на машине.
Примечание - Схема должна соответствовать требованиям МЭК 61082-1 [27] и МЭК 61082-2 [40], раздел 5.
При необходимости функциональная схема соединений, показывающая зажимы для соединений интерфейса и функций системы управления, должна входить в пакет поставляемой технической документации. Эта схема может использоваться в сочетании со схемой(ми) цепей (функциональных блоков) для упрощения. В функциональной схеме соединений должна быть ссылка на подробную принципиальную схему каждого блока.
Условные обозначения выключателя должны быть приведены на электромеханических схемах со всеми его устройствами управления в положении остановки (например, питание электроэнергией, воздух, вода, смазочное вещество) и пребывания машины и ее оборудования в нормальных стартовых условиях.
Провода должны обозначаться в соответствии с требованиями 14.2.
Цепи должны быть показаны таким образом, чтобы облегчить понимание их функции, обслуживание и поиск дефектов. Относящиеся к функции приборов управления и составных элементов характеристики, которые не являются очевидными из их символического представления, должны быть включены в схемы рядом с символом или даны в качестве справок внизу страницы.
Техническая документация должна включать руководство по эксплуатации с подробным описанием всех процедур, необходимых для приведения в действие и использования оборудования. Особое внимание следует уделить указанным мерам защиты и предполагаемым отклонениям от нормальных режимов работы.
Когда работа оборудования может программироваться, возникает необходимость в более подробной информации о методах программирования, необходимом оборудовании для этого, проверке программы и дополнительных мерах безопасности (если они требуются).
Техническая документация должна включать руководство по обслуживанию с подробным описанием соответствующих процедур по регулировке, уходу, превентивному обслуживанию и ремонту. Необходимо, чтобы частью этого руководства являлись рекомендации по регистрации и ведению карточек ухода и обслуживания. Если в руководстве указывают методы контроля соответствующих режимов работы (например, испытательная программа по проверке программного обеспечения), их применение должно быть подробно описано.
Как минимум, перечень конструктивных элементов должен включать сведения, необходимые для заказа запасных частей (например, составных компонентов, приборов, программного обеспечения, испытательного оборудования, технической документации) для регламентного ремонтного обслуживания и тех деталей, которые должны храниться у потребителя оборудования.
В перечне конструктивных компонентов для каждого элемента должны быть указаны:
- используемые в документации маркировочные знаки;
- типовое обозначение;
- поставщик и, при необходимости, другие источники снабжения;
- общие характеристики, если требуется.
Настоящий стандарт определяет общие требования, предъявляемые к машинам. Испытания конкретного вида машины должны проводиться по соответствующим стандартам на продукцию.
Когда машины данного вида не стандартизованы, они должны подвергаться одному или более приведенным ниже испытаниям, которые обязательно должны включать проверку непрерывности цепей защиты (п. 19.2):
- проверка соответствия технической документации;
- непрерывность цепей защиты (п. 19.2);
- испытание сопротивления изоляции (п. 19.3);
- проверка напряжением (п. 19.4);
- защита от остаточных напряжений (п. 19.5);
- функциональные испытания (п. 19.6).
После того как эти испытания выполнены, рекомендуется их документировать.
При внесении изменений в электрооборудование необходимо выполнить указанные в 19.7 испытания.
Когда машина собрана и все электрические соединения установлены, цепи защиты должны быть проверены на непрерывность в соответствии с требованиями ГОСТ Р 50571.16, 612.6.3. Необходимо проконтролировать крепление соединений проводов.
Для небольших машин или составных частей перед их сборкой, если длина защитной цепи не более 30 м, непрерывность цепи защиты возможно проверить, пропуская через нее ток не менее 10 А, частотой 50 или 60 Гц, направленный от источника БСНН в течение 10 с. Испытания должны быть проведены между зажимом РЕ (п. 5.2) и различными точками цепи защиты.
Измеренные значения напряжения между зажимом РЕ и контрольными точками не должны превышать указанных в таблице 9 (п. 8.2.2).
Таблица 9 - Проверка непрерывности цепи защиты
|
Минимальное эффективное поперечное сечение провода защиты контролируемой цепи, мм2 |
Максимальное установленное падение напряжения (величины определяются при испытательном токе 10 А), В |
|
1,0 |
3,3 |
|
1,5 |
2,6 |
|
2,5 |
1,9 |
|
4,0 |
1,4 |
|
Св. 6,0 |
1,0 |
Измеренное при 500 В постоянного тока между проводами силовой цепи и цепи защиты сопротивление изоляции не должно быть менее 1 МОм.
Испытания возможно проводить на отдельных составных частях комплектного электрооборудования.
Исключение - Для электрооборудования некоторых видов, встраиваемого в блоки, а также коллекторов, скользящих контактных узлов минимальное значение сопротивления изоляции не должно быть менее 50 кОм.
Электрооборудование должно выдерживать подаваемое испытательное напряжение в течение не менее 1 с между проводами всех цепей и защитными цепями, за исключением предназначенных для работы при БСНН или более низких и цепи защиты.
Испытательное напряжение должно:
- составлять двойное значение номинального напряжения питания или 1000 В, если это значение больше;
- иметь частоту 50 или 60 Гц и
- подаваться от трансформатора минимальной мощностью 500 В·А.
Некалиброванные для прохождения такого испытания составные элементы должны быть отключены на это время.
Испытания должны быть проведены для проверки соответствия оборудования положениям 6.2.4.
Функции электрооборудования, особенно относящиеся к безопасности и устройствам защиты, должны быть подвергнуты испытаниям.
Когда часть машины и связанное с ней оборудование заменены или изменены, эта часть должна быть снова подвергнута испытаниям в соответствии с 19.1.
В нижеприведенном перечне указаны типы промышленных машин, требования к электрооборудованию которых изложены в настоящем стандарте. Этот перечень не является исчерпывающим, но он соответствует определению машин и механизмов (п. 3.23).
Машины для металлообработки:
- металлорежущие станки;
- машины для формообразования металлов.
Машины для производства и обработки пластмасс и резины:
- станки для формовки впрыском;
- экструзионные машины;
- машины для формовки под давлением;
- термопластичные формовочные машины;
- дробильные машины.
Деревообрабатывающие машины:
- для обработки дерева;
- для прессования;
- распиловочные.
Машины для сборки.
Транспортно-погрузочные машины:
- промышленные роботы;
- передаточные;
- разгрузочно-погрузочные.
Машины для текстильного производства.
Установки для охлаждения и кондиционирования воздуха.
Машины для обувной промышленности, а также для производства изделий из кожи и кожзаменителей:
- для резки и пробивки;
- для обработки невыделанных шкур, очистки, обработки толстых кож, отделки, зачистки;
- обувные литейные;
- отделочные.
Грузоподъемные машины (МЭК 60204-32) [2]:
- краны;
- подъемники.
Машины для транспортировки людей:
- эскалаторы;
- устройства с канатной тягой для транспортировки людей, например: кресла-подъемники, лыжные подъемники и др.;
- пассажирские лифты.
Автоматически управляемые двери.
Машины для аттракционов.
(Поправка, ИУС 8-2003).
Насосы.
Машины для производства пищевых продуктов:
- дробильные;
- смешивающие;
- для обработки мяса;
- сбивающие и для производства тортов.
Машины для печати, изготовления и обработки бумаги и картона:
- печатные;
- для финишной обработки, стопорезки, вальцовочные станки;
- барабанные или резательные;
- для склеивания коробок;
- для производства бумаги и картона.
Контрольно-измерительные машины:
- координатно-измерительные;
- для контроля размеров в ходе изготовления.
Компрессоры.
Упаковочные машины:
- для укладки/разборки штабелей;
- для упаковки и запаивания в термопленку.
Машины для прачечных.
Нагревательное и вентиляционное оборудование.
Машины для строительства и производства строительных материалов:
- для пробивки тоннелей;
- для производства бетона;
- для производства кирпича;
- для обработки камня, керамики и производства стекла.
Перемещаемое оборудование:
- деревообрабатывающее;
- металлообрабатывающее.
Подвижные машины:
- сельскохозяйственное оборудование и машины для лесного хозяйства;
- подъемные платформы;
- вильчатые погрузчики;
- монтажное оборудование.
Машины для горячей обработки металлов.
Дробильные машины:
- многобарабанные;
- кромочные;
- гидрофицированные дробильные.
Оборудование для шахт и карьеров.
|
Вопросы, требующие согласования между изготовителем и потребителем Нижеприведенные сведения сообщаются потребителем, чтобы гарантировать правильное конструирование, изготовление и применение электрооборудования машины (п. 4.1). Фамилия изготовителя/поставщика __________________________________________ Фамилия потребителя _____________________________________________________ Номер предложения/заказа ________________________Дата_____________________ Тип машины/номер серий__________________________________________________ 1 Необходимо ли учитывать дополнительные требования, которые установлены в настоящем стандарте? (Далее по тексту указать любой отметкой в квадрате «Да» или «Нет») Да. □ Нет. □ Рабочие условия - Специальные требования (п. 4.4) 2 Диапазон температур окружающей среды ___________________________________ 3 Диапазон влажности _____________________________________________________ 4 Высота над уровнем моря _________________________________________________ 5 Окружающая среда (например, коррозийные среды, частицы, электромагнитная совместимость) _____________________________________________________________ 6 Излучение ______________________________________________________________ 7 Вибрация, удары ________________________________________________________ 8 Особые требования к установке и работе ____________________________________ Источник питания и относящиеся к нему вопросы (п. 4.3) 9 Возможные колебания напряжения источника питания относительно его номинального значения (если св. ± 10 %) _______________________________________ 10 Возможные изменения частоты (если более приведенных в 4.3.2) ______________ ___________________________________________________________________________ Спецификация кратковременного значения ___________________________________ 11 Укажите выполненные изменения в электрооборудовании, которые требуют увеличения потребности в питании электроэнергией ______________________________ 12 Для каждого необходимого источника электроснабжения укажите: Номинальное напряжение, В a) при переменном токе, А _________________________________________________ b) при постоянном токе, А __________________________________________________ Для переменного тока: количество фаз __________, частота __________________ Гц, Ожидаемый ток короткого замыкания в месте подключения питания к машине, _________________________ кА действующего значения (также вопрос 15) Возможные отклонения внешней питающей сети, приведенные в 4.3.2 ____________ 13 Тип питающей сети и систем заземления (ГОСТ 30331.2/ГОСТ Р 50571.2): - система TN ________________ (указать одну из систем заземления по рисункам 31 А, 31В, 31С, 31F, 31G и 31Н ГОСТ 30331.2/ГОСТ Р 50571.2) _______________________ - система ТТ ______________ (указать одну из систем заземления по рисункам 31D и 31J ГОСТ 30331.2/ГОСТ Р 50571.2); - система IT_____________ (указать одну из систем заземления по рисункам 31Е и 31К ГОСТ 30331.2/ГОСТ Р 50571.2) ____________________________________________ 14 Необходимо ли соединение электрооборудования с нулевым проводом (N) источника питания? (5.1) Да. □ Нет. □ 15 Должен ли поставщик или пользователь обеспечить защиту проводов питания от сверхтоков? (п. 7.2.2) Да. □ Нет. □ Тип и параметры устройств защиты от сверхтоков _____________________________ 16 Устройство отключения питания: - требуется ли отключение нулевого провода (N)? Да. □ Нет. □ - допустимо ли соединение для нейтрали? Да. □ Нет. □ - тип поставляемого устройства отключения __________________________________ 17 Мощность, ниже которой трехфазный (асинхронный) короткозамкнутый двигатель может запускаться непосредственно от сети питания _________________ кВт 18 Можно ли уменьшить до двух число устройств контроля перегрузки трехфазных двигателей? (п. 7.3) Да. □ Нет. □ 19 Если машина оснащена индивидуальным освещением: - каково допустимое максимальное напряжение? _____________ В - каким будет предпочтительное напряжение, если цепь освещения не подключена непосредственно к сети энергоснабжения? ___________________ В Другие положения 20 Функциональное обозначение (п. 17.3) _____________________________________ 21 Надписи/специальные маркировки: _______________________________________ - сертификационный знак? (знак соответствия) Да. □ Нет. □ Если да, то какой? ____________________________ (указать страну) На электрооборудовании? _____________________ (указать место) ______________ На каком языке? _____________________________ (указать язык) 22 Техническая документация (п. 18.1): в каком виде? _________________________________ (указать форму представления) на каком языке? _______________________________ (указать язык) 23 Размер, расположение и назначение кабельных сооружений, трасс или опорных конструкций, поставляемых пользователем (п. 18.5) (в случае необходимости следует поставить дополнительные листы) _____________________________________________ 24 Каким категориям персонала необходим доступ в опасные зоны внутри кожухов во время нормальной работы оборудования?: - квалифицированному персоналу _________________ (указать код ВА по ГОСТ 30331.2 / ГОСТ Р 50571.2) - предупрежденным лицам _______________________ (указать код ВА по ГОСТ 30331.2/ГОСТ Р 50571.2) 25 Надо ли поставлять замки с ключами для запирания дверей и крышек (6.2.2)? ___ Да. □ Нет. □ 26 Если требуется поставить «двуручное» управление, укажите тип: ______________ Если управление III типа, укажите допустимые отрезки времени, необходимые для приведения в действие устройства с двумя кнопочными выключателями _________________________________ (0,5 с или максимум) 27 Если существуют особые ограничения по размерам или массе, способные повлиять на транспортировку машины или узлов аппаратуры управления, укажите: - максимальные размеры _________________________________ мм - максимальную массу ___________________________________ кг 28 Если машина должна часто повторять свой рабочий цикл под управлением оператора, укажите частоту этих повторений циклов _______________________ ч. В течение какого времени эта максимальная частота повторения цикла может сохраняться без прерывания? ________________ мин 29 Необходимо ли прикладывать к машинам специального исполнения сертификаты о типовых рабочих испытаниях под нагрузкой? Да. □ Нет. □ В других случаях, необходимо ли приложить сертификат о типовых рабочих испытаниях, проводимых на идентичной машине под нагрузкой? Да. □ Нет. □ 30 Для беспроводных систем управления обязательно ли первоначальное время задержки перед автоматической остановкой в отсутствии команды? (9.2.7.3) _________________ с 31 Есть ли необходимость в специальной идентификации проводников, применение которых описано в 14.2.1? Да. □ Нет. □ Тип идентификации _______________ |
Настоящее приложение предназначено для того, чтобы дать дополнительную информацию, необходимую для выбора размеров проводов, когда указанные в таблице 5 условия (раздел 13) должны быть изменены (примечания к таблице 5).
С.1 Общие рабочие условия
С.1.1 Температура окружающего воздуха
Допустимые максимальные токи для изолированных ПВХ проводов в соответствии с таблицей 5 относятся к температуре окружающего воздуха 40 С.
Таблица С.1 - Поправочные коэффициенты-множители
|
Поправочные коэффициенты-множители |
|
|
30 |
1,15 |
|
35 |
1,08 |
|
40 |
1,00 |
|
45 |
0,91 |
|
60 |
0,82 |
|
55 |
0,71 |
|
60 |
0,58 |
|
Примечание - Поправочные коэффициенты-множители взяты из МЭК 60364-5-523 [37], таблица 52-D1. |
|
В промышленных машинах предполагаются следующие классические способы проводки между кожухами и отдельными элементами (используемые обозначения соответствуют МЭК 60364-5-523 [37]; рисунок С.1):
Рисунок С.1 - Методы укладки кабелей и проводов
B1 - использование коробов и кабель-несущих каналов (п. 3.5 и 3.7) для поддержки и защиты проводов (одножильные кабели);
В2 - то же, что В1, но с многожильными кабелями;
С - кабели, прокладываемые на стенах без коробов и каналов;
Е - кабели, прокладываемые в открытых горизонтальных или вертикальных трассах (шинопроводах) (п. 3.4)
Приведенные в таблице 5 значения допустимого максимального тока базируются на:
- трехфазном кабеле переменного тока под нагрузкой с поперечным сечением 0,75 мм2 и более;
- паре под нагрузкой (двух проводов) в цепях управления постоянного тока для поперечных сечений от 0,2 до 0,75 мм2.
Таблица С.2 - Поправочные коэффициенты-множители для группирования
|
Число кабелей/пар под нагрузкой |
||||
|
2 |
4 |
6 |
9 |
|
|
Трехфазный кабель переменного тока (см. примечание 1) |
0,80 |
0,65 |
0,57 |
0,50 |
|
С |
0,85 |
0,75 |
0,72 |
0,70 |
|
Е (один слой) |
0,87 |
0,78 |
0,75 |
0,73 |
|
Е (несколько слоев) |
0,86 |
0,76 |
0,72 |
0,68 |
|
Пара постоянного тока (независимо от способа, см. примечание 2) |
1,00 |
0,76 |
0,64 |
0,43 |
|
Примечание - Коэффициенты-множители взяты из МЭК 60364-5-523 [37] и МЭК 60287 [15]. |
||||
Когда укладывается большое число кабелей/пар под нагрузкой, значения таблицы 5 следует умножить на поправочные коэффициенты из таблиц С.2 и С.3.
Таблица С.3 - Поправочные коэффициенты-множители для многожильных кабелей сечением до 10 мм2
|
Переменный ток (провод сечением менее 1 мм2, см. примечание 1) |
Постоянный ток (пара проводов сечением 0,2-0,75 мм, см. примечание 2) |
|
|
5 |
0,75 |
0,52 |
|
7 |
0,65 |
0,45 |
|
10 |
0,55 |
0,39 |
|
24 |
0,40 |
0,27 |
|
Примечание - Коэффициенты-множители взяты из МЭК 60364-5-523 [37]. |
||
С.1.4 Классификация проводников
Таблица С.4 - Классификация проводников
|
Описание |
Использование/применение |
|
|
1 |
Жесткий провод медный или алюминиевый с круглым поперечным сечением до 16 мм2 |
Только для стационарных установок без вибрации |
|
2 |
Проводник медный или алюминиевый с минимальным числом жил
сечением |
|
|
5 |
Гибкий медный проводник, состоящий из многих тонких жил |
Для машинных установок с вибрацией; соединение с подвижными частями. Для частых движений |
|
6 |
Гибкий медный проводник, состоящий из многих очень тонких жил |
|
|
Примечание - Таблица взята из МЭК 60228 [12] и МЭК 60228А [13]. |
||
С.2 Использование в прерывистом режиме
Применение в периодическом или перемежающемся режиме, когда происходят частые двигательные запуски, требует расчета действительной величины термического эквивалентного тока Iq, чтобы установить, превышает ли он ток установившегося режима Ib. В случае, когда Iq > Ib, для выбора кабеля следует использовать Iq вместо Ib Для координации с защитой от сверхтоков можно также применять эту замену Iq может быть рассчитан по формуле
,
где Iq - термический эквивалентный ток, А;
Ii - ток включения, А;
Ib - ток полной нагрузки в установившемся режиме, А;
ti - продолжительность прохождения тока включения, с;
tb - продолжительность использования под нагрузкой, с;
ts - продолжительность рабочего цикла, с.
С.3. Координация между проводами и защитными устройствами
С.3.1 Во всех случаях необходимо проверить следующие условия:
Ib
In и Ib
Iz,
где In - номинальный ток или ток уставки устройства защиты от сверхтоков, А;
Iz - действующее значение допустимого максимального тока кабеля в установившемся режиме в обычных условиях эксплуатации, А.
Ib
In
Iz и
,
где I2 - минимальный ток, который при протекании в течение 1 ч вызовет размыкание цепи устройством защиты, А.
С.3.3
Когда устройство защиты от сверхтоков должно обеспечивать защиту только от
коротких замыканий, In может превышать Iz и I2 может превышать
.
Однако необходимо учитывать, что In > Iz, а также то, что температура при коротком замыкании может превысить максимальную температуру провода. Это особенно характерно для провода сечением менее 16 мм2. Расчеты приведены в С.4.
С.4 Защита проводов от сверхтоков
Все провода должны быть защищены от сверхтоков (п. 7.2) устройствами защиты, которые включаются во все активные провода таким образом, чтобы любой ток короткого замыкания, проходящий по кабелю, был прерван прежде, чем провод достигнет опасной температуры. Например, для проводов с ПВХ изоляцией, имеющих температуру в установившемся режиме 70 ºС, эта температура повышается от 70 до 160 ºС менее чем за 5 с при прохождении тока короткого замыкания по этому проводу.
Примечание - Относительно нулевых проводов см. 7.2.2.
На практике требование 7.2 соблюдено, если устройства защиты для тока I размыкают цепь за промежуток времени, который ни в коем случае не превышает время t.
Время t рассчитывают по формуле
,
где S - поперечное сечение, мм2;
I - ток короткого замыкания, выражаемый для переменного тока действующим значением, А;
k - коэффициент, применяемый к медным проводам в зависимости от изоляции и равный для:
|
поливинилхлорида |
115 |
|
каучука |
141 |
|
кремнийорганического каучука |
132 |
|
этиленпропиленовой смеси |
143 |
|
полиэтилена |
143 |
Использование плавких предохранителей с характеристиками gG или gM (ГОСТ Р 50339.0) и
выключателей с характеристиками В и С в соответствии с ГОСТ
Р 50345 гарантирует соблюдение этого требования. Это требование применяют,
если номинальный ток In выбирают по таблице 5, где In
Iz (п. 14.4).
Примечание - Понятия применяют в Европе как унифицированное определение «аварийный». В настоящем стандарте применяют только два из них.
D.1 Аварийное управление
Аварийное управление включает в себя комбинации, или по отдельности:
- аварийный стоп;
- аварийный старт;
- аварийное отключение;
- аварийное включение.
Аварийный стоп - аварийное управление намеченным остановом процесса или движения с целью устранения опасности.
Аварийный старт - аварийное управление намеченным запуском процесса или движения, или ухода от возникновения опасных условий.
Аварийное отключение - отключение внешним выключателем питания энергией всех или части оборудования в случае опасности электрического удара или иного электрического воздействия.
Аварийное включение - включение внешним выключателем питания электроэнергией части оборудования, чтобы иметь возможность использовать его в аварийных ситуациях.
А
Активная часть (L)* (токоведущая) п. 3.13, 6.2.2 - 6.2.4, 6.3.1, 6.3.2.3, 6.4.1, 8.2.5, 13.8.1, 14.4.5, 14.4.7
Аппаратура управления (С) 3.10, 6.3.2.2, 9.2.5.4.2, 12.1, 12.2.1, 12.2.2, 12.3, 17.4
* В скобках указана начальная буква выражения в английском варианте
Б
Безопасный рабочий режим (S) п. 3.47, 4.1
Блокировка (для защиты) (I) п. 3.29, 5.3.1, 6.2.2, 9.2.5.1 - 9.2.5.3, 9.3, 9.3.4, 14.2.4
В
Внешние проводящие части (Р) п. 3.22, 3.20, 3.43, 8.2.1
Д
Дефект (F) п. 3.24, 3.21, 3.23, 3.27, 3.38, 3.51, 4.1, 6.3.2.4, 6.3.3, 7.1, 7.2.9, 7.7, 8.2.1, 9.1.4, 9.2.5.1, 9.2.7.3, 9.4.2.3, 9.4.3.1, 18.7
З
Заграждение (О) п. 3.36, 6.2.1, 6.2.6, 9.2.5.4
Закрытая рабочая зона (О) п. 3.17, 5.4 - 5.6, 6.2.2
Зажим (Т) п. 3.55, 3.43, 4.4.2, 5.1, 5.2, 6.2.2, 6.4.2, 7.2.7, 7.9, 8.2.1, 8.2.7, 8.3.3, 9.1.4, 12.2.1, 12.2.2, 14.1.1, 14.1.2, 14.3, 14.4.4, 14.4.6, 14.4.7, 15.4, 18.7, 19.2
Защитное устройство (G) п. 3.25, 3.29, 3.48, 9.4.1, 10.7.2, 18.2
И
Исполнительный механизм (М) п. 3.32, 3.1, 3.11, 3.33, 3.56, 9.2.2, 9.2.5.4.2, 9.3.4, 15.6
К
Кабель-несущая система (С) п. 3.5, 3.14, 14.1.3, 14.4.2, 14.5.1, 14.5.6, 14.5.7, С.1.2
Канал (С) п. 3.8, 3.16, 6.2.3,15.1.1,15.1.3,15.4.2,15.4.3, 15.5.1,15.5.3, 15.5.4,15.5.5, 16.4
Квалифицированный человек п. 3.52, 3.28, 6.2.2, 8.2.4, приложение В
Кожух (Е) (оболочка) п. 3.18, 3.5, 3.10, 4.4.2, 5.3.3, 6.2.2, 6.2.4, 7.2.8, 8.2.3, 8.2.5, 9.1, 10.1.1, 10.8.1, 12.2.1, 12.2.2, 12.3, 12.4, 13.4, 13.8.1, 14.3, 14.4.1, 14.4.2, 14.5.6, 15.2, 16.2.1, 16.2.2, 17.2, 17.4, 17.5, приложение В, п. С.1.2
Коммутационный аппарат (S) п. 3.54, 3.10, 5.3.2, 5.3.3, 7.2.10, 7.3, 8.2.4, 9.4.2.1, 14.4.4
Контролируемая остановка (С) п. 3.11, 9.2.2
Короб (С) п. 3.5, 3.14, 14.1.3, 14.4.2, 14.5.1, 14.5.6, 14.5.7, С.1.2
Л
Лоток для прокладки кабеля (или полка) (С) п. 3.4, 14.4.2, 14.5.1, 18.5, приложение В, п. С.1.2
М
Маркировка (М) п. 3.3, 5.2, 5.4, 5.5, 6.2.2, 9.1.4, 10.2.2, 12.2.1, 12.2.2, 14.1.1, 14.2.2, 17.1, 17.3, 17.4, приложение В
Машина и механизм п. 3.33, 3.24, 5.1, приложение А
Н
Незащищенная токопроводящая часть (Е) п. 3.21, 3.20, 3.27, 3.43, 6.3.1, 6.3.2.3, 6.3.3, 8.2.1, 8.2.3, 8.2.5, 8.3.2
Неконтролируемая остановка (U) п. 3.56, 9.2.2
Непрямой контакт (I) п. 3.27, 6.1, 6.3.1, 6.4.1
Нулевой провод (символ N) (N) п. 3.35, 3.31, 5.1, 5.3.3, 7.2.3, 7.3, 9.4.3.1, 13.8.2, 14.3.2, С.4
О
Оборудование (Е) п. 3.19, 1, 3.2, 3.5, 3.6, 3.10, 3.15, 3.16, 3.17, 3.18, 3.21, 3.23, 3.34, 3.41, 3.45, 3.50, 3.53, 3.57, 4.3.1, 4.3.3, 4.4.1 - 4.4.8,
п. 4.5 - 4.7, 5.1, 5.2, 5.2.5, 5.3.1 - 5.3.3, 5.4, 5.5, 6.1, 6.2.1, 6.2.2, 6.2.4, 6.3.1, 6.3.2.1, 6.3.2.2, 6.4.1, 7.1, 7.2.2, 7.2.5,
п. 7.7, 7.9, 8.2.1, 8.2.2, 8.3.1, 8.3.3, 8.6, 9.2.7.4, 9.4.1, 10.1.2, 10.3.2, 11.1, 11.2.2, 11.3.3, 11.3.4, 12.1, 12.2.1, 12.2.2, 12.3, 12.4, 13.3,
п. 13.4, 13.6, 14.3, 14.4.2, 14.4.5, 14.5.3, 15.1, 15.5, 16.1, 17.1, 17.3 - 17.5, 18.1, 18.2, 18.4, 18.5 - 18.8, 18.10, 19.1, 19.3, 19.4, 19.6, 19.7, приложение А, приложение В, п. С.1.2
Ограждение (В) п. 3.3, 3.15, 3.17, 3.18, 3.25, 6.2.1, 6.2.2, 12.2.2, 13.8.1, 14.1.3, 14.4.3
Ограничивающее устройство (L) 3.30, 7.3
Орган управления (Н) п. 3.1, 3.40, 9.2.5.8, 9.3.4, 10.1.2, 10.2.1, 10.2.2, 10.4, 10.6, 10.7.4, 10.8.4, 15.6
Опознавательный знак (R) п. 3.45, 12.2.1, 17.5, 18.3, 18.10
Опасность (Н) п. 3.26, 1, 3.28, 3.48, 3.49, 3.52, 4.1, 5.4, 6.2.4, 6.3.2.1, 8.2.5, 9.2.5.4.2, 9.4.2.3, 11.3.4, 13.1, 13.3
Отказ (F) п. 3.23, 3.42, 4.1. 5.3.5, 6.3.1, 6.3.2.2, 6.3.3, 8.2.5, 8.3.1, 8.3.2, 9.3.4, 9.4.1, 9.4.2.1 - 9.4.2.3, 9.4.3.1, 9.4.3.2
П
Плюсовая операция отключения (Р) п. 3.40, 9.4.2.1, 10.1.4, 10.7.2, 10.8.2
Поставщик (S) п. 3.53, 4.1, 4.3.1, 4.4.1, 4.4.7, 4.4.84.7, 4.7, 6.2.2, 7.2.2, 7.2.10, 10.3.2, 11.2.2, 12.4, 13.3, 14.2.1, 17.1, 17.3, 17.4, 18.1, 18.3, 18.10, приложение В
Потребитель (U) п. 3.57, 1, 3.53, 4.1, 4.3.1, 4.4.1, 4.4.7, 4.4.8, 7.2.2, 7.2.9, 7.3, 10.3.2, 14.2.1, 15.5, 17.3, 18.5, 18.10, приложение В
Предохранительное устройство (S) п. 3.48, 1, 3.49, 4.1, 9.2.5.2, 9.3.1, 18.2
Предупрежденное (I) лицо п. 3.28, 3.15, 3.17, 6.2.2, приложение В
Прибор управления (С) п. 3.9, 3.6, 8.3.2, 9.1.1, 9.1.4, 9.2.4, 9.2.5.2, 9.2.5.6 - 9.2.5.8, 9.2.6, 9.3.4, 9.4.2.1, 10.1.2, 10.1.3, 10.1.5, 10.5, 12.2.1, 12.2.2, 14.3, 17.3, 17.5, 18.7
Провод защиты (Р) п. 3.43, 3.42, 5.1, 5.2, 8.2.1 - 8.2.4, 8.2.7, 13.8.2-13.8.4, 13.8.8, 14.1.1, 14.1.2, 14.2.2, таблица 9, приложение В
Прямой контакт (D) п. 3.13, 3.3, 3.18, 3.36, 6.1, 6.2.1, 6.2.2, 6.2.4, 6.4.1, 9.2.5.4, 10.1.3, 13.8.1
Р
Рабочая площадка (S) п. 3.50, 5.3.4, 10.1.2, 12.2.1
Разъем (Р) п. 3.39, 5.3.2, 5.6, 8.2.6, 12.2.1, 14.3, 14.4.5, 14.4.6
Резервирование (R) п. 3.44, 9.4.1, 9.4.2.2
Риск (общая оценка) (R) п. 3.46, 1, 3.28, 3.31, 3.47, 3.52, 4.1, 5.5, 9.2.5.3, 9.2.5.4.2, 9.2.7.5, 9.4.1, 9.4.2, 12.4, 15.4, приложение D
С
Силовая цепь (Р) п. 3.41, 3.8, 3.33, 4.1, 7.2.3, 7.2.9, 12.2.2, 13.8.8, 14.2, 19.3
Совпадающий (С) п. 3.6, 9.2.5.2, 9.2.5.7
Т
Температура окружающей среды (А) п. 3.2, 4.4.1, 13.1, 13.4 (таблица 5), приложение В, п. С.1.1
Ток короткого замыкания (S) п. 3.51, 7.2.9, 13.8.8, приложение В, п. С.4
Ток перегрузки (цепи) (О) п. 3.38, 5.3.2, 7.1, 7.3, 9.1.4, 9.2.5.5, 15.1,15.6, 16.1, приложение В, п. С.3.2
Трубопровод (С) п. 3.7, 3.14, 8.2.3, 14.1.1, 14.1.3, 14.4.2, 14.4.3, 14.5.1, 14.5.4, 14.5.5, 15.4, С.1.2
У
Уравнительное соединение (Е) п. 3.20, 8.1, 11.2.2, 13.8.8
Ц
Цепь защиты (Р) п. 3.42, 5.1, 5.2, 6.3.1, 6.4.1, 7.2.4, 8.2.1, 8.2.3, 8.2.4, 8.2, 8.2.6, 8.3.2, 8.3.3, 9.1.1, 9.1.4, 9.4.2.1, 9.4.3.1, 11.2.2,
п. 13.8.2, 14.1.1, 14.4.5, 14.5.1, 16.1, 16.2.1, 19.1 - 19.4
Цепь управления (машины) (С) п. 3.8, 3.9, 3.41, 4.1, 5.3.5, 5.4, 7.2.4, 9.1.1 - 9.1.4, 9.3.5, 9.4.2.1 - 9.4.2.3, 9.4.3.1, 9.4.3.3, 12.2.1, 13.6, таблица 6, п. 13.8.8, 14.2.4, 14.4.5, С.1.3
Ч
Э
Электронное оборудование (Е) п. 3.16, 4.3.3, 11.1, 11.3.4
Адрес: 103001, Москва, Гранатный пер., 4.
1 МЭК 60204-31-96 Электрооборудование промышленных машин. Частные требования к швейным машинам, установкам и системам
5 МЭК 60050/191-90 Международный электротехнический словарь (МЭС). Глава 191. Надежность и качество услуг
6 МЭК 60050/441-84 Международный электротехнический словарь (МЭС). Глава 441. Коммутационная аппаратура, аппаратура управления и предохранители
7 МЭК 60050/826-82 Международный электротехнический словарь (МЭС). Глава 826. Электроустановки зданий
10 МЭК 60076-5-76 Трансформаторы силовые. Часть 5. Стойкость к короткому замыканию
11 МЭК 60146-1-1-91 Преобразователи полупроводниковые. Общие требования и преобразователи с линейной коммутацией. Часть 1-1. Технические условия на основные требования
12 МЭК 60228-78 Жилы токопроводящие изолированных кабелей
13 МЭК 60228А-82 Жилы токопроводящие круглые. Руководство по предельным размерам
15 МЭК 60287-82 Кабели. Расчет номинальных токов нагрузок в условиях установившегося режима
17 МЭК 60364-4-481-93 Электроустановки зданий. Часть 4. Защита, обеспечивающая безопасность. Глава 48. Выбор мер защиты в зависимости от внешних факторов. Раздел 481. Выбор мер защиты от электрического удара в зависимости от внешних факторов
18 МЭК 60439-1-92 Устройства коммутационные и механизмы управления низковольтные комплектные. Часть 1. Узлы, подвергаемые частичным или полным типовым испытаниям
21 МЭК 60664-1-92 Координация изоляции для оборудования в низковольтных системах. Часть 1. Принципы, требования и испытания
22 МЭК 60617 (серия стандартов) Обозначения условные графические для схем
27 МЭК 61082-1-91 Документы, используемые в электротехнике. Подготовка. Часть 1. Общие требования
28 МЭК 61131-1-92 Контроллеры программируемые. Часть 1. Общие сведения
29 МЭК 61131-2-92 Контроллеры программируемые. Часть 2. Требования к оборудованию и испытания
32 ИСО 3864-84 Цвета предупреждающие и знаки безопасности
34 ИСО/ТР 12100-1-92 Безопасность машин. Основные понятия и общие принципы расчета. Часть 1. Основная терминология и методология
35 ЕН 50081 Электромагнитная совместимость. Стандарты на уровни генерируемых помех
36 EH 50082-2-95 Электромагнитная совместимость. Стандарты на уровни невосприимчивости излучений. Часть 2: Производственная окружающая среда
38 МЭК 61082-4-90 Горное дело. Соединительные элементы для цепных конвейеров
Ключевые слова: машины, безопасность, основные понятия, исполнение, принципы: безопасность машин, понятие, опасность, меры по обеспечению безопасности, выбор